Week 4: Failure Flashcards

(21 cards)

1
Q

What is buckling instability or simply buckling?

A

A slender structural member (generally termed strut) undergoes a large sideways deflection when the applied load reaches a critical value that is much lower than the compressive strength of the strut material

Book 1 page 120

How well did you know this?
1
Not at all
2
3
4
5
Perfectly
2
Q

What are the four basic modes of failure?

A
  • Excessive elastic deformation or deflection
  • Buckling instability
  • Plastic deformation
  • Fracture

Book 1 page 121

How well did you know this?
1
Not at all
2
3
4
5
Perfectly
3
Q

What three factors is the response of a component to stress dependent on?

A
  • Type of loading
  • Type of material
  • Environmental conditions

Book 1 page 122

How well did you know this?
1
Not at all
2
3
4
5
Perfectly
4
Q

What are the most common reasons for instability in a long and slender structural member?

A
  • The load may not be applied exactly along the longitudinal axis of the member
  • The member may not be perfectly straight
  • The material properties of the member vary across its cross-section

Book 1 page 125

How well did you know this?
1
Not at all
2
3
4
5
Perfectly
5
Q

About which axis will a strut tend to bend under a compressive load?

A

About the axis for which the second moment of area of the cross-section is a minimum

Book 1 page 126

How well did you know this?
1
Not at all
2
3
4
5
Perfectly
6
Q

What is second moment of area, I?

A

Geometrical expression that provides a measure of the effectiveness of the particular geometry of a beam to resist bending

Book 1 page 126

How well did you know this?
1
Not at all
2
3
4
5
Perfectly
7
Q

What is the expression commonly used to predict the critical load for buckling?

A

Euler formula

Book 1 page 130

How well did you know this?
1
Not at all
2
3
4
5
Perfectly
8
Q

Why is a factor K introduced into the Euler equation to give a general expression for the buckling of struts?

A

To cover cases where the end conditions are other than those assumed in the analysis

Book 1 page 133

How well did you know this?
1
Not at all
2
3
4
5
Perfectly
9
Q

What is the generalised Euler formula?

A

Book 1 page 134

How well did you know this?
1
Not at all
2
3
4
5
Perfectly
10
Q

What argument is made to justify the use of maximum shear stress to predict yielding?

A

Many failures in uniaxial tensile testing occur at approximately 45° to the direction of loading which corresponds to the plane of maximum shear stress

Book 1 page 136

How well did you know this?
1
Not at all
2
3
4
5
Perfectly
11
Q

What expression is used to give maximum shear stress in 3 dimensions?

A

Book 1 page 137

How well did you know this?
1
Not at all
2
3
4
5
Perfectly
12
Q

How can the following expression be described in words?

A

Under any stress state, yield failure will occur if the difference between the maximum and minimum principal stresses is equal to the measured uniaxial yield stress for the particular material

Book 1 page 137

How well did you know this?
1
Not at all
2
3
4
5
Perfectly
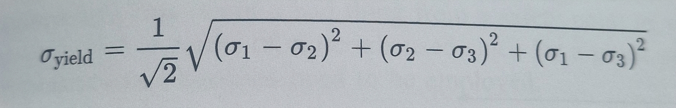
13
Q

What is the Von Mises yield criterion expression?

A

Book 1 page 139r

How well did you know this?
1
Not at all
2
3
4
5
Perfectly
14
Q

What is the expression used to summarise the effect of a stress raiser?

A

Book 1 page 143

How well did you know this?
1
Not at all
2
3
4
5
Perfectly
15
Q

How can stress raisers be avoided?

A

By smoothly varying cross-sections, avoiding notches and sharp internal corners (including holes)

Book 1 page 142

How well did you know this?
1
Not at all
2
3
4
5
Perfectly
16
Q

What are the characteristics of brittle fracture?

A

No visual trace of plasticity on the broken surfaces of the specimen

Load-deflection trace is linear until the fracture

Book 1 page 148

17
Q

What is one of the major issues in fracture mechanics as it pertains to brittle fracture?

A

A specimen that fails in a ductile manner in a small section can fail in a fast, brittle fashion in larger sections

Book 1 page 148

18
Q

What is the expression used in the Linear Elastic Fracture Mechanics equation and describe the terms?

A

Also where a is the length of the crack or one-half the length of an embedded crack

Book 1 page 155

19
Q

When is LEFM deemed to be applicable?

A

The size of the plastically deformed zone at the crack tip is sufficiently small compared to the crack length?

Book 1 page 156

20
Q

Which expression is used to calculate the critical crack length at fracture?

A

Book 1 page 160

21
Q

What is plastic collapse?

A

When the reduced cross-sectional area caused by a crack means the component reaches its yield stress and collapses by plastic deformation at this reduced area

Book 1 page 161