Week 8 Flashcards

(9 cards)

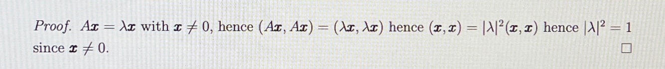
1
Q

Prove

A
How well did you know this?
1
Not at all
2
3
4
5
Perfectly
2
Q

Prove

A
How well did you know this?
1
Not at all
2
3
4
5
Perfectly
3
Q

Prove

A
How well did you know this?
1
Not at all
2
3
4
5
Perfectly
4
Q

What 2 by 2 matrix has the properties

A

Rotation matrix

How well did you know this?
1
Not at all
2
3
4
5
Perfectly
5
Q

SO(3) matrix is always

A

Rotation wrt certain axis

How well did you know this?
1
Not at all
2
3
4
5
Perfectly
6
Q

Σ

A

The real linear space of self adjoint traceless 2by2 matrices

How well did you know this?
1
Not at all
2
3
4
5
Perfectly
7
Q

Basis of Σ

A

Pauli matrices

How well did you know this?
1
Not at all
2
3
4
5
Perfectly
8
Q

Prove

A
How well did you know this?
1
Not at all
2
3
4
5
Perfectly
9
Q

Prove

A

There is a homomorphism φ:SU(2) -> SO(3) that is surjective and has kerΦ~= Z2

How well did you know this?
1
Not at all
2
3
4
5
Perfectly