Week 9 Flashcards

(20 cards)

1
Q

A group J is a semi direct product of a subgroup H by a subgroup G is the following conditions are satisfied

A
How well did you know this?
1
Not at all
2
3
4
5
Perfectly
2
Q

Relate direct product to semi direct product

A

Direct product is special case of semi direct product where both subgroups G and H are normal subgroups of J

How well did you know this?
1
Not at all
2
3
4
5
Perfectly
3
Q
A

Denoted that H is a normal subgroup of J

How well did you know this?
1
Not at all
2
3
4
5
Perfectly
4
Q
A

Denotes that H is a normal subgroup of (above) and the semi direct product can act on the set G x H

(Combination of direct product and normal subgroup notations)

How well did you know this?
1
Not at all
2
3
4
5
Perfectly
5
Q

If J is the extension of H by G

A

A group J is a semi direct product of a subgroup H by a subgroup G

How well did you know this?
1
Not at all
2
3
4
5
Perfectly
6
Q
A
How well did you know this?
1
Not at all
2
3
4
5
Perfectly
7
Q

Prove

A
How well did you know this?
1
Not at all
2
3
4
5
Perfectly
8
Q

Prove

A
How well did you know this?
1
Not at all
2
3
4
5
Perfectly
9
Q

Prove

A
How well did you know this?
1
Not at all
2
3
4
5
Perfectly
10
Q

Prove

A
How well did you know this?
1
Not at all
2
3
4
5
Perfectly
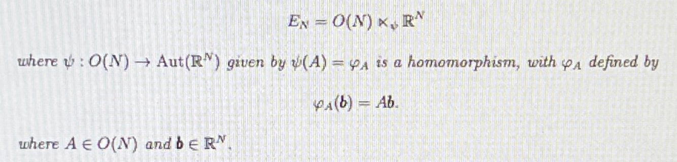
11
Q

Define Euclidean group

A
How well did you know this?
1
Not at all
2
3
4
5
Perfectly
12
Q

All transformations which preserve the Euclidean inner product are formed

A

Of just the orthogonal transformations and translations of R^N

How well did you know this?
1
Not at all
2
3
4
5
Perfectly
13
Q

Prove

A
How well did you know this?
1
Not at all
2
3
4
5
Perfectly
14
Q

Prove

A

(Final line)
€ O(N), so that Q is a map constructed from a translation and an orthogonal transformation

How well did you know this?
1
Not at all
2
3
4
5
Perfectly
15
Q

Euclidean group is

A
How well did you know this?
1
Not at all
2
3
4
5
Perfectly
17
Q

Poincaré group is

18
Q

Minkowski metric

19
Q

Lorentz transformation

20
Q

The Poincaré group is isomorphic to?
With homomorphism?
Automorphism?