wk3 Flashcards

(8 cards)

1
Q

What is the Hadaamard Gate

A

Entangles a qubit:
|0> -> |+>
|1> -> |->

How well did you know this?
1
Not at all
2
3
4
5
Perfectly
2
Q

What is the value of the two Hadamard basis states

A

|+> = ( |0> + |1> ) / root ( 2 )
|-> = ( |0> - |1> ) / root ( 2 )

How well did you know this?
1
Not at all
2
3
4
5
Perfectly
3
Q

What is the Schrodinger Equation, and what does it do

A

describes the time evolution of the state of a closed quantum system
Note: H is not the Hadamard gate but the hamiltonian operator

How well did you know this?
1
Not at all
2
3
4
5
Perfectly
4
Q

What is the Hamiltonian operator used for

A

describes the specific closed system. Since the Hamiltonian operator is Hermitian it has a spectral decomposition

How well did you know this?
1
Not at all
2
3
4
5
Perfectly
5
Q

what are quantum measurements described by

A

a collection of measurement operators {M}_m

There are operators acting on the state space of the system. Index m refers to the measurement outcomes that could occur in the experiment

How well did you know this?
1
Not at all
2
3
4
5
Perfectly
6
Q

Given a quantum state |ѱ> immediately before a measurement. What is the probability that the result m occurs

A

p(m) = <ѱ|M^T M |ѱ>
= |M_m|ѱ>|^2

How well did you know this?
1
Not at all
2
3
4
5
Perfectly
7
Q

What is the state of the quantum system after the measurement. And what is the name of this interpretation

A

( 1 / sqrt ( <ѱ|M^T M |ѱ> ) ) * M_m|ѱ>

Also known as the Copenhagen interpretation

How well did you know this?
1
Not at all
2
3
4
5
Perfectly
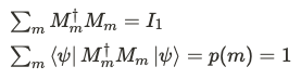
8
Q

What properties to do the measurement operators satisfy

A

Complete and law of total probability (see image)

How well did you know this?
1
Not at all
2
3
4
5
Perfectly