wk4 Flashcards

(12 cards)

1
Q

What is the projection measurement

A

An observable (result of observation) has a spectral decomposition. Where M = Sum_m( m P_m), where p_m = projector. This means that all possible outcomes of measurement correspond to to the eigenvalues

How well did you know this?
1
Not at all
2
3
4
5
Perfectly
2
Q

What is the probability of getting some measurement m, when measuring state |ψ>

A

p(m)= <ψ|P_m|ψ>

How well did you know this?
1
Not at all
2
3
4
5
Perfectly
3
Q

After a measurement, M, what is the space of the system

A

(1/ root(P_m) ) P_m |ψ>

How well did you know this?
1
Not at all
2
3
4
5
Perfectly
4
Q

What if all measurement projectors are orthogonal?

A

they are hermitian and M_m . M_n = kroneckerdelta_{m,n}

How well did you know this?
1
Not at all
2
3
4
5
Perfectly
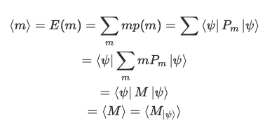
5
Q

What is the average value of a projective measurement

A

The expected value, which is (see image).
This value is also equal to the standard deviation

How well did you know this?
1
Not at all
2
3
4
5
Perfectly
6
Q

When can quantum states be distinguished

A

If states are orthogonal then they can be reliably distinguished, non orthogonal ones overlap and are hard to distinguish

How well did you know this?
1
Not at all
2
3
4
5
Perfectly
7
Q

what is POVM

A

A positive operator-valued measurement. A measure whose values are semi definite operators on a Hilbert space.

when POVM is defined as a finite number of elements acting on a finite-dimensional Hilbert space, POVM is a set of positive semi-definite Hermitian Matrices such that they sum to. an identity matrix

How well did you know this?
1
Not at all
2
3
4
5
Perfectly
8
Q

How are measurements defined in POVM

A

E_m := M^TM
such that E_m is positive to allow for the sum of all E_m to = Identity. And p(m) = <ψ|E_m|ψ>

Also P_m P_n = KoneckerDelta_{m,n}

How well did you know this?
1
Not at all
2
3
4
5
Perfectly
9
Q

Postulate 3 of quantum mechanics

A

Physical variables are real and hence represented by hermitian operators, measurement can be described by projection operators

For non commuting observables, Delta(c) . Delta(d) >= 1/2 |<ψ|[C,D]|ψ>|

How well did you know this?
1
Not at all
2
3
4
5
Perfectly
10
Q

Postulate 4:

A

State space of composite physical system is the tensor product of the state spaces of the component physical systems. e.g. |ψ_1> tensor|ψ_2> tensor…|ψ_n>

How well did you know this?
1
Not at all
2
3
4
5
Perfectly
11
Q

Postulate 1

A

Quantum systems are described by state vectors or density matrices

How well did you know this?
1
Not at all
2
3
4
5
Perfectly
12
Q

Postulate 2

A

isolated quantum systems time-evolve via unitary operators (observables) and or Schrödinger equation

How well did you know this?
1
Not at all
2
3
4
5
Perfectly