10 - Sirkulasjon Flashcards

(130 cards)

1
Q

Hva driver blodet gjennom systemkretsløpet?

A

En trykkgradient (blodtrykk) generert av venstre ventrikkel

Blodet strømmer fra høyere trykk (arteriesiden) til lavere trykk (venøs side, høyre atrium)

How well did you know this?
1
Not at all
2
3
4
5
Perfectly
2
Q

Hva er cardiac output (CO)?

A

Mengden blod hjertet pumper per tidsenhet (L/min):

  • Beskriver hjertets pumpeaktivitet
How well did you know this?
1
Not at all
2
3
4
5
Perfectly
3
Q

Hvordan beregnes cardiac output?

A
  • HF (hjertefrekvens): slag per minutt
  • SV (slagvolum): blodvolum per slag
How well did you know this?
1
Not at all
2
3
4
5
Perfectly
4
Q

Hva er systemisk vaskulær motstand (SVR)?

A

Motstanden blodet møter i det arterielle systemet:

  • Reflekterer graden av vasokonstriksjon/dilatasjon i perifere kar
How well did you know this?
1
Not at all
2
3
4
5
Perfectly
5
Q

Hvordan beregnes SVR?

A
  • MAP: middelarterietrykk (drivtrykk)
  • CVP: sentralvenøst trykk (tilbaketrykk)
  • CO: blodstrøm
How well did you know this?
1
Not at all
2
3
4
5
Perfectly
6
Q

Hvordan beregnes MAP?

A
  • Pulstrykk = P-sys - Pdia
  • Diastolen varer omtrent dobbelt så lenge som systolen → derfor vektlegges diastolisk trykk mer
  • MAP representerer drivtrykket for blod til vev

MAP kan også uttrykkes som:

  • MAP = CO x TPR
  • CO = Cardiac output
  • TPR = total perifer motstand
How well did you know this?
1
Not at all
2
3
4
5
Perfectly
7
Q

Hva representerer (MAP-CVP) fysiologisk?

A

Den effektive trykkgradienten som driver blodet gjennom systemkretsløpet

How well did you know this?
1
Not at all
2
3
4
5
Perfectly
8
Q

Hvorfor er CO og SVR klinisk viktige?

A

De brukes til å forstå og klassifisere sirkulasjonssjokk, f.eks.:

  • Hypovolemisk
  • Kardiogent
  • Distributivt
How well did you know this?
1
Not at all
2
3
4
5
Perfectly
9
Q

Hvordan kan CO måles eller estimeres klinisk?

A

Direktet: Swan-Ganz-kateter

Indirekte: ekkokardiografi

How well did you know this?
1
Not at all
2
3
4
5
Perfectly
10
Q

Hvilke sirkulasjonsparametre kan måles direkte?

A
  • Hjertefrekvens (HF)
  • Middelarterietrykk (MAP)
  • Sentralvenøst trykk (CVP): via sentralt venekateter
How well did you know this?
1
Not at all
2
3
4
5
Perfectly
11
Q

Hvorfor varierer normale verdier av CO og SVR?

A

De påvirkes av alder, helsetilstand, metabolsk aktivitet og individuelle forskjeller

How well did you know this?
1
Not at all
2
3
4
5
Perfectly
12
Q

Hvorfor er gjentatte målinger viktige?

A

De gir bedre informasjon om pas. hemodynamiske utvikling over tid enn enkeltmålinger

How well did you know this?
1
Not at all
2
3
4
5
Perfectly
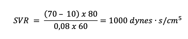
13
Q

Hva vil MAP bli hos en pas. med:

  • MAP 70 = mmHg
  • CVP = 10 mmHg
  • Slagvolum (SV) = 80 mL = 0.08 L
  • Hjertefrekvens (HF) = 60/min
A

Man multipliserer (MAP-CVP) med 80 for å konvertere enheten til dynes·s/cm⁵, som er standard klinisk enhet for SVR

SVR-verdien er i normalområdet:

  • Innenfor 900-1400 dynes·s/cm⁵

Normal SVR i denne sammhengen:

  • Den perifere motstanden i karsystemet er normal, og at det ikke foreligger tydelig vasokonstriksjon eller dilatasjon

Hvis høy SVR:

  • Indikerer økt perifer motstand f.eks. ved vasokonstriksjon (hypovolemi, kardiogent sjokk)

Hvis lav SVR:

  • Indikerer redusert perifer motstand, typisk ved vasodilatasjon (f.eks. septisk sjokk)
How well did you know this?
1
Not at all
2
3
4
5
Perfectly
14
Q

Hvilke tre hovedbegreper beskriver ventre ventrikkels funksjon?

A

Preload, afterload og kontraktilitet

How well did you know this?
1
Not at all
2
3
4
5
Perfectly
15
Q

Hva er preload?

A

Strekker på myocyttene før kontraksjon, bestemt av endediastolisk volum (EDV) i venstre ventrikkel

How well did you know this?
1
Not at all
2
3
4
5
Perfectly
16
Q

Hva skjer med preload ved hypovolemi?

A

Preload reduserer → mindre fylling → redusert slagvolum

How well did you know this?
1
Not at all
2
3
4
5
Perfectly
17
Q

Hva er afterload?

A

Motstanden venstre ventrikkel må pumpe mot, hovedsakelig bestemt av arterielt blodtrykk (særlig diastolisk blodtrykk)

How well did you know this?
1
Not at all
2
3
4
5
Perfectly
18
Q

Hvordan påvirker aortastenose afterload?

A

Øker afterload fordi ventrikkelen må pumpe mot en innsnevret aortaklaff → høyere motstand

How well did you know this?
1
Not at all
2
3
4
5
Perfectly
19
Q

Hvordan kan afterload reduseres klinisk?

A

Blodtrykksenkende medikamenter (vasodilatasjon)

Mekanisk sirkulasjonsstøtte (f.eks. Impella, ECMO, aortaballongpumpe)

How well did you know this?
1
Not at all
2
3
4
5
Perfectly
20
Q

Hva er kontraktilitet?

A

Hjertemuskelens evne til å generere kraft ved en gitt preload og afterload (intrinsisk pumpeevne)

How well did you know this?
1
Not at all
2
3
4
5
Perfectly
21
Q

Kan kontraktilitet måles direkte i klinikken?

A

Nei - vurderes indirekte via hemodynamikk og ekkokardiografi

How well did you know this?
1
Not at all
2
3
4
5
Perfectly
22
Q

Hva viser Frank-Starling-mekanismen?

A

Økt preload → økt kontraksjonskraft → økt slagvolum:

  • Innen fysiologiske grenser

Hjertesvikt:

  • Kurven er flatere → mindre økning i slagvolum ved økt preload (redusert kontraktilitet)

Økt kontraktilitet:

  • Kurven forskyves oppover → høyere slagvolum ved samme preload
How well did you know this?
1
Not at all
2
3
4
5
Perfectly
23
Q

Hva viser trykk-volum-diagrammet?

A

Sammenhengen mellom trykk og volum i venstre ventrikkel gjennom hjertesyklusen, og hvordan preload, afterload og slagvolum henger sammen

Økt afterload:

  • Økt trykk
  • Økt ESV
  • Redusert slagvolum

Økt preload:

  • Økt EDV
  • Økt slagvolum (så lenge kontraktilitet er normal)
How well did you know this?
1
Not at all
2
3
4
5
Perfectly
24
Q

Hva er mikrosirkulasjon?

A

Blodstrømmen i de minste karene (kapillærer), hvor oksygen og næringsstoffer utveksles med vevet

How well did you know this?
1
Not at all
2
3
4
5
Perfectly
25
Hva er Krogh-sylinderen?
Et teoretisk område rundt en kapillær som denne forsynger med oksygen - hver celle ligger normalt nær én eller flere kapillærer
26
Hvordan fungerer mikrosirkulasjon under normale forhold?
Jevn perfusjon av kapillærer → effektiv oksygendistribusjon → alle celler får tilstrekkelig O₂
27
Hva skjer i mikrosirkulasjonen ved distrubitivt sjokk (f.eks. sepsis)?
CO kan være høy Global O₂-tilførsel (DO2) kan være normal Men mikrosirkulasjonen svikter → cellulær hypoksi
28
Hva menes med mikrosirkulatorisk svikt?
Ujevn blodfordeling i kapillærnettverket: - Noen kapillærer hyperperfunderes - Andre kollapser
29
Hva er konsekvensen av ujevn kapillærperfusjon?
Ineffektiv oksygenutnyttelse → områder med lokal hypoksi til tross for tilstrekkelig oksygen i blodet
30
Hvorfor kan pas. ha høy CO, men likevel vevshypoksi?
Fordi blodet "shuntes" gjennom noen kapillærer uten effektiv diffusjon → oksygen når ikke cellene
31
Hva er "shunting" i mikrosirkulasjonen?
Blod passerer raskt gjennom enkelte kar uten å avgi oksygen → redusert vevsoksygenering
32
Hva viser disse ulike situasjonene?
A: Normal, jevn perfusjon B: Septisk sjokk → ujevn, fragmentert flow C: Hypovolemi → redusert kapillærfylling D: Kardiogent sjokk → redusert og treg flow
33
Hva er hovedbudskapet om mikrosirkulasjon i sjokk?
Global sirkulasjon (CO, MAP) kan være "ok", men mekrosirkulasjonen kan likevel svikte → avgjørende for organsvikt
34
Hva er autoregulering av blodstrøm?
Vevets evne til å holde blodstrømmen relativt konstant til tross for endringer i blodtrykk (BT)
35
Hvorfor er et visst perfusjonstrykk nødvendig?
Fordi blod må ha tilstrekkelig trykk for å nå vevet og sikre oksygentilførsel
36
Hva skjer hvis BT faller under autoreguleringsterskelen?
Autoregulering svikter → blodstrømmen blir trykkavhengig → redusert vevsperfusjon og risiko for hypoksi
37
Hvordan påvirker kronsisk hypertensjon autoregulering?
Forsyver autoreguleringskurven mot høyre → pas. tåler dårligere lavt blodtrykk
38
Hva kjennetegner pasienter som er vant med lavt BT?
De kan tolerer lavere BT-bivåer uten symptomer (bedre toleranse for hypotensjon)
39
Hva er normalt autoreguleringsområde i hjernen?
MAP ca. 70-150 mmHg gir stabil cerebral blodstrøm
40
Hvorfor er blodtrykksfall farlig ved alvorlig hodeskade?
Fordi redusert MAP direkte gir redusert cerebral blodstrøm → risiko for irreversibel hjerneskade
41
Hva kan svært høyt BT føre til i hjernen?
Overperfusjon → økt risiko for skade (f.eks. ødem eller blødning)
42
Hvordan ser blodstrøm vs. trykk ut ved intakt autoregulering? Hvordan ser det ut ved ødelagt autoregulering?
Plateau: - Blodstrøm er relativt konstant innenfor autoreguleringsområdet Lineær sammenheng: - Blodstrøm følger direkte blodtrykket (trykkavhengig flow)
43
Påvirker BT direkte DO₂ (oksygentilførsel)?
Ikke direkte, men indirekte via perfusjon - for lavt trykk hindrer blod i å nå vevet
44
Hva er definisjonen (jf. Skjærvold) av sirkulasjonssjokk?
En tilstand der sirkulasjonssystemet ikke leverer tilstrekkelig oksygen til å dekke vevets behov
45
Hva er DO₂ (oksygentilførsel)?
Mengden oksygen som leveres til vev per tidsenhet
46
Hvordan beregnes DO₂?
DO₂ = CO x Hb x sO₂ = DO₂ = HF × SV × Hb × sO₂
47
Hva skjer når DO₂ faller under kritisk nivå?
Oksygenforbruket (VO₂) blir supply-dependent → videre fall gir cellulær hypoksi (dysoksi)
48
Hva kan redusere DO₂?
Lav CO (↓ preload, ↑ afterload, ↓ kontraktilitet) Lav Hb (anemi) Lav sO₂ (hypoksemi)
49
Hva er betraktning 1 (jf. Skjærvold) om sjokk?
Sjokk skyldes utilstrekkelig global oksygentilførsel (lav DO₂)
50
Hva sier betrakning 2 (jf. Skjærvold) om BT ved sjokk?
MAP må være høyt nok til å drive blod hjennom vevet (over autoreguleringsterskelen)
51
Kan man ha normal DO₂, men fortsatt vevshypoksi?
Ja, hvis BT er for lavt → utilstrekklig perfusjon lokalt
52
Hva er et eks. på dette (høy DO₂, lav MAP)?
Distributivt sjokk, f.eks. ved sepsis
53
Hva er betraktning 3 (jf. Skjærvold) om sjokk?
Selv med normal DO₂ og MAP kan dysoksi oppstå pga. mikrosirkulatoriske eller cellulære problemer
54
Hva er mikrosirkulatorisk svikt ved sjokk?
Ujevn kapillærperfusjon → ineffektiv oksygendistrubusjon
55
Hva er cellulær svikt ved sjokk?
Mitokondriene klarer ikke bruke oksygen → energisvikt selv ved tilstrekkelig tilførsel
56
Hva er hovedpoenget med de tre betraktningene jf. Skjærvold?
Sjokk kan skyldes tre nivåer av svikt: 1. Global O₂-tilførsel (DO₂) 2. Perfusjonstrykk 3. Mikrosirkulasjon/cellulær funksjon
57
Hva er en viktig klinisk konsekvens av dette rammeverket?
Behandling må målrettes: - Øke CO/Hb/sO₂ - Øke MAP - Forbedre mikrosirkulasjon
58
Hvorfor kan sjokk være komplekst å behandle?
Fordi flere mekanismer er til stede samtidig (makro + mikro + cellulært nivå)
59
Hvordan deler Skjærvold sirkulasjonssjokk?
I tre hovedtyper: - Kardiogent - Hypovolemisk - Distrubutivt
60
Hva er hovedårsaken til kardiogent sjokk?
Svikt i hjertets pumpefunksjon → redusert slagvolum (SV) og cardiac output (CO)
61
Hva skjer hemodynamisk ved kardiogent sjokk?
↓ SV → ↓ CO → ↓ DO₂ → ↓ MAP → vevsdysoxi
62
Hvordan prøver kroppen å kompensere ved kardiogent sjokk?
Øker hjertefrekvensen (HF), men dette er ofte utilstrekkelig
63
Hva skjer med Frank-Starling-kurven ved kardiogent sjokk?
Den forskyves nedover → lavere kontraktilitet → mindre SV ved samme preload
64
Hva er typiske årsaker til kardiogent sjokk?
Store hjerteinfarkt (LAD/CX) Klaffesvikt (f.eks. akutt mitralinsuffisiens) Alvorlige arytmier (VT) Hjertestans
65
Hvilke "obstruktive" tilstander kan gi lignende bilde?
Tensjonspnemuthorax Hjertetamponade Massiv lungeemboli
66
Hva er hovedårsaken til hypovolemisk sjokk?
Redusert blodvolum → redusert preload
67
Hva skjer hemodynamisk ved hypovolemisk sjokk?
↓ preload → ↓ SV → ↓ CO → ↓ DO₂ → ↓ MAP → vevsdysoxi
68
Hvordan kompenserer kroppev ved hypovolemi?
Økt HF og vasokonstriksjon (↑ SVR)
69
Hva er typiske årsaker til hypovolemisk sjokk?
Blødning Dehydrering Væsketap, f.eks.: - Brannskader - Diaré
70
Hva er en årsak til akutt hypovolemisk sjokk?
Massiv blødning (traume, kirurgi)
71
Hva er andre årsaker til hypovolemi?
Væsketap (svette, feber) Tredjeromstap (ascites, ødem) Dehydrering
72
Hvilke pas. er spesielt utsatt for subakutt hypovolemi?
Eldre og kronisk syke med lavt væskeinntak
73
Hva er hovedmekanismen ved distributivt sjokk?
Systemisk vasodilatasjon → ↓ SVR → ↓ MAP
74
Hva skjer samtidig med væskefordelingen?
Kapillær lekkasje → væsketap til tredje rom → relativ hypovolemi
75
Hvordan påvirkes CO ved distributivt sjokk?
Ofte normal eller høy (spesielt tidlig ved sepsis)
76
Hvorfor kan pas. likevel få vevsdysoksi?
Lavt BT (↓ MAP) Mikrosirkulatorisk svikt Cellulær/metabolsk svikt
77
Hva er typiske årsaker til distributivt sjokk?
Sepsis (vanligst) Systemic inflammatory response syndrome (SIRS) pga. traume/kirurgi
78
Hvordan behandles distributivt sjokk?
Væske (øke preload) Vasopresser (noradrenalin → øke SVR/MAP)
79
Hva er farlig ved alvorlig distrubutivt sjokk?
Kan gi irreversibel svikt (mitokondriesvikt) → dårlig respons på behandling
80
Hvordan kan distributivt sjokk også gi hypovolemi?
Kapillær lekkasje → væsketap til tredje rom → redusert preload
81
Hva er felles sluttpunkt for alle sjokktyper?
Vevsdysoksi (cellulær hypoksi/energimangel)
82
Hvilke tre hovedmekanismer fører til vevsdysoksi ved sjokk?
1. ↓ DO₂ (lav CO, Hb, sO₂) 2. ↓ MAP (dårlig perfusjon) 3. Mikrosirkulatorisk/cellulær svikt
83
Hvordan skille sjokktyper raskt?
Kardiogent: ↓ CO, ↑ SVR Hypovolemisk: ↓ CO, ↑ SVR Distributivt: ↑/normal CO, ↓ SVR
84
Når bør man mistenke sirkulasjonssjokk?
Nedsatt bevissthet uten klar årsak Åpenbar klinisk årsak (blødning/infarkt) Avvikende vitale parametre
85
Hvilke vitale tegn tyder på sjokk?
Takykardi Hypotensjon Takypné Høy laktat/metabolsk acidose
86
Hva er første steg ved mistanke om sjokk?
Vurder om det foreligger truet sirkulasjon
87
Hva er neste steg etter å ha identifisert sjokk?
Identifisere mest sannsynlig sjokktype: - Kardiogent? - Hypovolemisk? - Distributivt?
88
Hva er det viktigste prinsippet i behandling av sjokk?
Start behandling umiddelbart - ikke vent på full diagnostikk
89
Hva skjer parallelt med behandlingsstart?
Videre diagnostikk for å avklare årsak og justere behandling
90
Hva er hovedmplet med behandling av sjokk?
Gjenopprette adekvat vevsperfusjon og oksygentilførsel Sjokk kan være vanskelig å diagnostisere: - Symptomene kan være uspesifikke og utvikle seg gradvis
91
Hvorfor må behandling startes før full diagnose?
Forsinkelse øker risiko for irreversibel organskade
92
Hva er helt essensielt ved kardiogent sjokk?
Ekkokardiografi (ekko cor) for å vurdere pumpefunksjon og årsak
93
Hvilke nøkkelspørsmål må avklares ved kardiogent sjokk?
Isolert venstre ventrikkelsvikt eller mer komplekst bilde? Behov for akutt intervensjon (f.eks. STEMI, obstruktiv årsak)?
94
Hva er hovedstrategier ved kardiogent sjokk?
Manipulere preload, afterload og kontraktilitet - med stor forsiktighet (!)
95
Hvordan påvirker væske preload?
Øker preload → kan øke slagvolum
96
Hva er risiko ved væskebehandling?
Overfylling → lungestuvning → lungeødem → respirasjonssvikt ("backward failure")
97
Hva gjør inotrope medikamenter (f.eks. dobutamin)?
Øker kontraktilitet → øker CO
98
Hva er ulempen med økt inotropi? | Kardiogent sjokk
Øker myokardets oksygenforbruk → kan forverre iskemi
99
Hva gjør vasokonstriktorer (f.eks. noradrenalin)?
Øker MAP/perfusjonstrykk
100
Hva er ulempen ved vasokonstriksjon? | Kardiogent sjokk
Øker afterload → kan redusere slagvolum
101
Hva gjør vasodilatorer (f.eks. nitroprussid)?
Reduserer afterload → kan bedre slagvolum
102
Hva er ulempen med vasodilatasjon? | Kardiogent sjokk
Senker BT → kan forverre perfusjon
103
Når vurderes mekanisk sirkulasjonsstøtte?
Ved utilstrekkelig effekt av medikamentell behandling, f.eks.: - Aortaballongpumpe - Impella - ECMO
104
Hva er forholdet mellom kardiogent sjokk og hjertestans?
Kardiogent sjokk kan raskt progrediere til hjertestans → krever akutt håndtering (A-HLR)
105
Hva er de tre hovedprinsippene ved hypovolemisk sjokk (blødning)?
1. Stanse blødning 2. Ersatte volumtap 3. Forebygge SIRS og "dødens triangel"
106
Hva er "dødens triangel" ved blødning?
Hypotermi + acidose + koagulopati → forverrer blødning og øker mortalitet
107
Hva er første og viktigste tiltak ved blødningssjokk?
Stoppe pågående blødning (kirurgi/intervensjon)
108
Hva er prinsippet ved massiv transfusjon?
Rask erstatning av blodtap med blodprodukter (ofte balansert transfusjon)
109
Hva er en viktig, ikke-medisinsk faktor ved behandling av blødning?
Logistikk: - Teamarbeid - Rask tilgang til blodprodukter - Effektiv pasientflyt
110
Hva brukes ved hypovolemi uten blødning?
IV krystalloider
111
Hva er typisk initial væskebehandling hos voksne?
1-2 liter krystalloider over 10-20 minutter
112
Hvordan beregner man hvor mange ml/min krystalloider som skal gis IV hos en pas. som skal få 1-2 L gitt over 10-20 min?
113
Hva må man være oppmerksom på ved rask væsketilførsel?
Risiko for lungeødem, særlig ved redusert hjertefunksjon
114
Hva gjør hypovolemiske sjokk vanskelig å skille fra distributivt sjokk?
Infeksjon/sepsis kan gi overlappende bilde (kombinert hypovolemi + vasodilatasjon)
115
Hva er viktig monitorering ved hypovolemisk sjokk?
Repeterte blodgasser (laktat, syre-base-status)
116
Hva er hovedproblemet ved hypovolemisk sjokk?
Lav preload → lavt slagvolum → lav CO
117
Hva er derfor hovedbehandlingen?
Øke preload (væske/blod)
118
Hva er de to hovedproblemene ved distrubitivt sjokk?
Vasodilatasjon → ↓ SVR → ↓ MAP Kapillær lekkasje → hypovolemi
119
Hva er første behandlingssted ved distributivt sjokk?
Aggressiv væsketilførsel (krystalloider)
120
Hvor mye væske gis initialt hos voksne?
Ofte opptil 4-5 liter over 30-60 minutter
121
Når startes vasopressorbehandling?
Tidlig, hvis MAP fortsatt er lav etter væske
122
Hva er førstevalg av vasopressor?
Noradrenalin
123
Hva er målet med vasopressor?
Øke SVR → øke MAP → bedre perfusjon
124
Hvorfor trenger disse pas. ofte intubasjon?
Redusert bevissthet → dårlig ventilasjon Redusert oksygenopptak Økt oksygenbehov
125
Hva er fordelene med intubasjon og ventilasjon?
Bedre oksygenering Redusert oksygenforbruk Mindre risiko for lungeødem: - Overtrykksventilasjon
126
Hvordan påvirker narkose kroppen i sjokk?
Reduserer metabolisme og oksygenforbruk → avlaster kroppen
127
Hvor bør disse pas. behandles?
Akuttmottak/intensivavd.
128
Hvordan monitoreres pasienten?
Invasivt BT Blodgasser (laktat Ekkokardiografi v/behov
129
Hva er kritisk ved mistanke om sepsis?
Tidlig oppstart av IV ab.
130
Hva skjer etter initial stabilisering?
Pas. trenger ofte fortsatt væske og vasopressor i flere dager Avgjørende er at man videre: - Kontinuerer monitorering - Justerer behandling