23 Flashcards

(52 cards)

1
Q

What are the main macronutrients contributing to energy production in the body

A

Carbohydrate, protein and fat

How well did you know this?
1
Not at all
2
3
4
5
Perfectly
2
Q

Why are (to a lesser extent) nucueic acidds important?

A
  • protein and nucleic acid components supply body with nitrogen which is important for the biosynthesis of various nitrogen compounds that we need for cellular function
How well did you know this?
1
Not at all
2
3
4
5
Perfectly
3
Q

Why are larger compounds broken down

A

To be absorbed by the body

How well did you know this?
1
Not at all
2
3
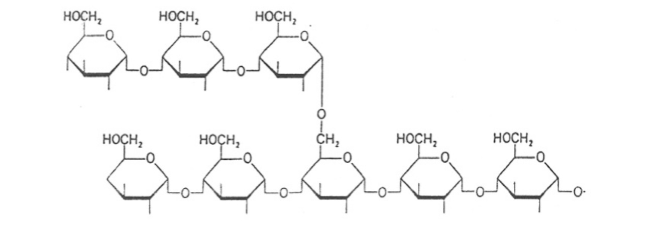
4
5
Perfectly
4
Q

Main food components and what they’re broken into

A
How well did you know this?
1
Not at all
2
3
4
5
Perfectly
5
Q

After macronutrients are consumes in the diet, where do they pass through?

A

The GI tract

How well did you know this?
1
Not at all
2
3
4
5
Perfectly
6
Q

These smalle dmolecules are used to

A

Make ATP

How well did you know this?
1
Not at all
2
3
4
5
Perfectly
7
Q

Saliva at what ph contains what to start what?

A

S aliva (neutral pH) contains mucous and amylase which starts the digestion of carbohydrates

How well did you know this?
1
Not at all
2
3
4
5
Perfectly
8
Q

Function of stomach - what does it do and what dies it produce

A

Storage and mixing of food with gastric juices, producing the ‘chyme’ that is slowly released into intestine

How well did you know this?
1
Not at all
2
3
4
5
Perfectly
9
Q

Things that are secreted into the stomach (by the stomach?)

A

„secretes acid (0.1 M HCl) =
denaturing

„secretes pepsinogen -> pepsin secrete
= protein digestion (protease)

„secretes mucous layer (protective)

How well did you know this?
1
Not at all
2
3
4
5
Perfectly
10
Q

PH of pancreas

A

„ slightly alkaline – around pH 7

How well did you know this?
1
Not at all
2
3
4
5
Perfectly
11
Q

Function of pancrease

A

„secretes most of the digestive enzymes including amylase, lipase and several proteases

How well did you know this?
1
Not at all
2
3
4
5
Perfectly
12
Q

Function of liver

A

„synthesis of bile salts/acids (stored in gall bladder) important for fat digestion

How well did you know this?
1
Not at all
2
3
4
5
Perfectly
13
Q

Function of small intestine

A

„final phase of digestion and absorption

How well did you know this?
1
Not at all
2
3
4
5
Perfectly
14
Q

Two main phases of digestion

A
  1. Hydrolysis of bonds connecting monomer units in
    food macromolecules

Carbohydrate: Glycosidic bonds – starch -> disaccharides
Proteins: Peptide bonds
Fat: Triacylglycerol ester bonds
(This breakdown depends on how fast it can be absorbed into the body)

  1. Absorption of hydrolysis products from gastrointestinal
    tract into body
How well did you know this?
1
Not at all
2
3
4
5
Perfectly
15
Q

Digestions of dietary carbohydrates - what percent of energy does it provide - what are some examples

A

Provides 40-50% of energy intake

Starch (ie. α-amylose, amylopectin)
Simple sugars ie. sucrose, lactose, fructose, glucose (diglucose)
Fibre – such as cellulose (undigestible by most mammals) (don’t have the enzyme to hydrolyse that polymer bond)

How well did you know this?
1
Not at all
2
3
4
5
Perfectly
16
Q

Main component of plant starch

A

Amylopectin

How well did you know this?
1
Not at all
2
3
4
5
Perfectly
17
Q

Amylopectin is the main component of…

A

…plant starch

How well did you know this?
1
Not at all
2
3
4
5
Perfectly
18
Q

Amylopectin is a polymer up to ____ _____ Union s

A

1 million glucose units

How well did you know this?
1
Not at all
2
3
4
5
Perfectly
19
Q

Structure of amylopectin

A
  • each bond needs a specific enzyme to be hydrolysed
How well did you know this?
1
Not at all
2
3
4
5
Perfectly
20
Q

Maltose is present in…

A

…honey

How well did you know this?
1
Not at all
2
3
4
5
Perfectly
21
Q

Structure of maltose - what kid of polymer..

22
Q

C ellobiose and lactose are ________ of one another

A

stereoisomers

23
Q

stereoisomers - how Cellobiose and lactose are stereoisomers of one another - what does this mean?

A

Cellobiose is a repeating disaccharide unit in cellulose
- Mammals do not have an enzyme that can hydrolyse the b(1->4) glycosidic bonds in cellulose

Lactose is present in milk
- Some people do not have the lactase enzyme and are unable to hydrolyse lactose

24
Q

How do stereoisomers arise

A

The functional groups in monosaccharides can be in either of two orientations

There is a convention of numbering the carbon atoms

(- any functional groups - like hydroxyl groups can either be pointing out of the carbon or out the other side of the plane of the ring - this influences overall structure (although it has the same chemical make up as another stereoisomer group)

25
What is sucrose made of
Fructose and glucose
26
Sucrose is hydrolysed to form
Glucose and fructose
27
Consumption of ‘high fructose corn syrup’ is increasing - why
Enzyme hydrolysis of ‘corn starch’ to glucose and isomerization to fructose - easier then other ways of sweetenening?
28
29
Starch from plants consists mainly of:
- Amylose (a linear polymer of a(1->4) linked glucose units) - Amylopectin (a branched polymer of a(1->4) and a(1->6) linked glucose units)
30
H ydrolysis of glycogen
Glycogen has a similar branched structure to amylopectin Glycogen can be present in consumed foods such as liver and muscle Glycogen is synthesized in animals from glucose and stored in liver and muscle, and then broken down to glucose when required by the body The breakdown of glycogen stored in liver and muscle cells to glucose requires a ‘debranching enzyme’ (will be discussed further in Prof. Julian Eaton-Rye’s lectures)
31
Glycogen has a similar branched structure to
Amylopectin
32
Glycogen can be present in consumed food such as…
… liver and muscle
33
Glycogen is ____ in animals from _____ and stored in ___ and _____, and then broken down to glucose when required by the body
synthesized glucose liver muscle
34
The breakdown of glycogen stored in liver and muscle cells to glucose requires a_______
‘debranching enzyme’
35
Hydrolysis of starch - digestion of starch
(Sequential hydrolysis process) The enzyme amylase hydrolyses a(1->4) glycosidic bonds Repeated internal attack yielding smaller and smaller oligosaccharides producing maltose/isomaltose disaccharides as end products
36
Final digestion at ‘Brush Border’ after amylase digestion, what happens - what enzymes do what cells secrete ? What happens after?
Intestinal epithelial cells secrete … Maltase/isomaltase Maltose/isomaltose ——-> 2 glucose Sucrase Sucrose ———> fructose + glucose Lactase Lactose ———> galactose + glucose The monosaccharides are now absorbed into the body
37
Isomaltose and maltose
- different isomers = different enzymes
38
Overview of dietary carbohydrate processing in the gastrointestinal tract
39
Lactose interlace - how it occurs - what is causes - how to fix it
L actase enzyme deficiency (genetic basis) Causes bloating, flatulence and diarrhoea due to fermentation of lactose by intestinal bacteria Need to avoid lactose in diet
40
Digestion of dietary protein - what this supplies to the body
Supplies amino acids to make body proteins Supplies essential amino acids Source of nitrogen for purines, pyrimidines, haem Carbon skeletons can be used as fuel (N converted to urea and excreted in urine)
41
Essential amino acids
Leucine Isoleucine Lysine Methionine Threonine Phenylalanine Tryptophan Valine (Non-essential are the amino acids we have evolved to have enzymes to break down/synthsystie/ interconvert ) Could be obtained form plant or animal sources
42
Kwashiorkor - what is it caused by, what does it result in - what is low in the blood and what does that affect
‘Kwashiorkor’ is the result of a deficiency of dietary protein which causes an osmotic imbalance in the gastrointestinal system, causing the abdomen to swell (oedema) due to retention of water In addition, the level of albumin in the blood is low affecting colloidal osmotic (oncotic) pressure, and also transport of molecules, eg hormones and drugs
43
How are proteases activated ?
by cleavage of peptides from their structure
44
All proteases secreted as
All proteases secreted as inactive forms (zymogens or proenzymes) - this minimises unwanted hydrolysis of body structure
45
Protein digestion
Involves hydrolysis of specific peptide bonds Performed by several different proteases All proteases secreted as inactive forms (zymogens or proenzymes) All proteases activated by cleavage of peptides from their structure
46
Protease specificity is determined by
adjacent amino acid side chains in protein substrate
47
Examples of amino acid side chains that determine a specific protease specificity
Pepsin = aromatic - ie Phe, Tyr Trypsin = positively charged - ie Lys, Arg Chymotrypsin = aromatic - ie Phe, Tyr Whether bond is hydrolysed or not depends on the amino acid side chain
48
Two stages of protein digestion
Endopeptidases attack peptide bonds within the protein (peptide) polymer - Examples: pepsin, trypsin, chymotrypsin Exopeptidases attack peptide bonds at the end of protein (peptide) polymer - Two types: - Aminopeptidase - Carboxypeptidase
49
Endopeptidases vs Exopeptidase in protein digestion
Endopeptidases attack peptide bonds within the protein (peptide) polymer Exopeptidases attack peptide bonds at the end of protein (peptide) polymer
50
How is Pepsinogen activated to pepsin
Pepsinogen, the inactive zymogen (proenzyme) is activated to pepsin following exposure of pepsinogen to HCl in the stomach In the stomach acidic environment, part of the pepsinogen protein unfolds, which activates the pepsin protease and results in hydrolysis of part of the pepsinogen protein sequence to generate stably activated pepsin protease - activated pepsin can also directly activate inactive pepsin (causes it to refold and become active)
51
Protein digestion – sequential hydrolysis by proteases DIAGRAMS
52
Enterokinase flow on effects on proteases from pancreas - how appropriate proteases are activated at an appropriate time to carry out their function
Membrane bound in the intestine lumen - able to hydrolyse part of the trypsinogen protein molecule activating it to active trypsin protease - active trypsin can active chymotrypsinogen to chymotrypsin - trypsin can also hydrolyse part of procarboxypeptidase to activate it