3 Assessing Complex Sinusoids Flashcards

- Euler's Formula - Complex amplitude - rotating phasor - Complex sinusoid - Coding of complex sinusoid (12 cards)

1
Q

Why complex sinusoid?

A

(1) separation of time dependent part of sinusoid from time independent part of sinusoid​
(2) efficient addition of complex sinusoids
(3) efficient multiplication of complex sinusoids
(4) efficient coding of complex sinusoids

How well did you know this?
1
Not at all
2
3
4
5
Perfectly
2
Q

Euler’s form is required as:

A

A complex number in Cartesian coordinates is related to a
complex number in polar coordinates by Euler’s formula

How well did you know this?
1
Not at all
2
3
4
5
Perfectly
3
Q

Euler’s formula in terms of complex signals?

A
How well did you know this?
1
Not at all
2
3
4
5
Perfectly
4
Q

Rotating phasor?

A
The rotating phasor describes the time dependent part of
a sinusoid (counterclockwise rotation)
How well did you know this?
1
Not at all
2
3
4
5
Perfectly
5
Q

Equation and diagrams to describe a rotating phasor?

A
How well did you know this?
1
Not at all
2
3
4
5
Perfectly
6
Q

The multiplication of two complex numbers?

A
How well did you know this?
1
Not at all
2
3
4
5
Perfectly
7
Q

How is the complex amplitude and rotating phasor used together to describe a complex sinusoid?

A
How well did you know this?
1
Not at all
2
3
4
5
Perfectly
8
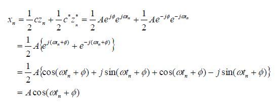
Q

Proving that the real description of a sinusoid is entirely equivalent to the complex description of a sinusoid?

A
How well did you know this?
1
Not at all
2
3
4
5
Perfectly
9
Q

How can the percentage data saving be found for transmitting four words instead of the entire signal?

A
How well did you know this?
1
Not at all
2
3
4
5
Perfectly
10
Q

The equation for complex amplitude?

A
How well did you know this?
1
Not at all
2
3
4
5
Perfectly
11
Q

The equation for the rotating phasor?

A
How well did you know this?
1
Not at all
2
3
4
5
Perfectly
12
Q

How are the equations for the complex amplitude and rotating phasor used together to describe a sinusoid?

A
How well did you know this?
1
Not at all
2
3
4
5
Perfectly