6 Assessing Aliasing Flashcards

- Mirror Frequency - Nyquist theorem - Aliasing frequency - Avoiding aliasing (24 cards)

1
Q

what are mirror frequencies?

A

The calculation of the Discrete Fourier Transform (DFT) results in a spectrum which exhibits mirror frequencies

How well did you know this?
1
Not at all
2
3
4
5
Perfectly
2
Q

Definition of mirror frequencies?

A
How well did you know this?
1
Not at all
2
3
4
5
Perfectly
3
Q

Example of mirror frequencies?

A
How well did you know this?
1
Not at all
2
3
4
5
Perfectly
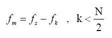
4
Q

The equation for mirror frequency?

A

The mirror frequency fm depends on the sampling frequency fs and
the (harmonic) signal frequency fk

How well did you know this?
1
Not at all
2
3
4
5
Perfectly
5
Q

Equation for the spectral amplitude of the mirror frequency?

A

The spectral amplitude at the mirror frequency is the same as the
spectral amplitude at the signal frequency

How well did you know this?
1
Not at all
2
3
4
5
Perfectly
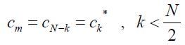
6
Q

The spectral coefficient at the mirror frequency?

A

The spectral coefficient at the mirror frequency is the complex conjugate of the spectral coefficient at the signal frequency

How well did you know this?
1
Not at all
2
3
4
5
Perfectly
7
Q

Details regarding the spectral coefficients at the mirror frequencies?

A

As a result, the spectral coefficients at the mirror frequencies do not add any new information to the spectrum, because they can be calculated directly from the first half of the spectrum k < N/2

How well did you know this?
1
Not at all
2
3
4
5
Perfectly
8
Q

Normal spectrum limitations?

A

The spectrum is therefore normally limited to one half of the
harmonic frequencies fk

How well did you know this?
1
Not at all
2
3
4
5
Perfectly
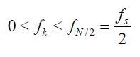
9
Q

The smallest and largest frequencies in a spectrum:

A

The smallest frequency in a spectrum is f0 = 0 Hz and
the largest frequency in a spectrum is fN/2 = fs/2

How well did you know this?
1
Not at all
2
3
4
5
Perfectly
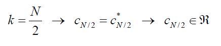
10
Q

Nyquist frequency?

A

The largest frequency in a spectrum is called the Nyquist frequency fNYQ = fs/2 = fN/2

Note that the Nyquist frequency does not have any mirror frequency, or it is the mirror frequency to itself, such that the corresponding spectral coefficient is a real number

How well did you know this?
1
Not at all
2
3
4
5
Perfectly
11
Q

Nyquist frequency spectral coefficient?

A
How well did you know this?
1
Not at all
2
3
4
5
Perfectly
12
Q

The spectral coefficient at f0= 0Hz

A
How well did you know this?
1
Not at all
2
3
4
5
Perfectly
13
Q

How can the spectral coefficient of the Nyquist frequency be specifically calculated:

A
How well did you know this?
1
Not at all
2
3
4
5
Perfectly
14
Q

How are mirror frequencies avoided in engineering applications?

A
How well did you know this?
1
Not at all
2
3
4
5
Perfectly
15
Q

What is Aliasing?

A
  • Aliasing is a mathematical consequence of the calculation of the spectrum, i.e., the periodicity of the rotating phasor.
  • When the Nyquist theorem is not observed, aliasing can occur
  • Aliasing is the appearance of a signal in the spectrum at the wrong frequency
How well did you know this?
1
Not at all
2
3
4
5
Perfectly
16
Q

How can Aliasing be detected?

A

Aliasing can be detected by changing the sampling frequency and noting the change of the apparent signal frequency.

17
Q

How to tell when no aliasing has occurred?

A

If the apparent signal frequency is independent of the sampling frequency, no aliasing occurred

18
Q

How to tell when aliasing has occurred?

A

If the apparent signal frequency depends on the sampling frequency, aliasing has occurred

19
Q

Aliasing example?

A

Aliasing results in an apparent signal with the wrong frequency

20
Q

The equation used to calculate the aliasing frequency?

21
Q

The number of aliasing frequencies per signal?

A

Each signal only has a single aliasing frequency

22
Q

How can aliasing be avoided?

A
  • observing the Nyquist theorem
  • increasing the sampling frequency to at least two times the signal frequency
  • analogue filtering prior to digital recording
23
Q

Uses of aliasing?

A

Aliasing can also be put to good use, for example to economise the resources required for recording a signal, if the signal has a limited bandwidth -> advanced digital signal processing