AAMC Practice Flashcards

(13 cards)

1
Q

equation: pressure under the surface of a liquid

A

P = ρgh

P = pressure
ρ = density
g = acceleration due to gravity (9.8)
h = depth of liquid
How well did you know this?
1
Not at all
2
3
4
5
Perfectly
2
Q

buoyant force equation

A

F = -ρgV

F = buoyant force exerted by the fluid onto the floating object
ρ = density of liquid
g = acceleration due to gravity (9.8)
V = fluid volume
How well did you know this?
1
Not at all
2
3
4
5
Perfectly
3
Q

Archimede’s Principle

A

the buoyant force of a fluid is equal to the weight of the displaced fluid

when an object is immersed fully or partially in a fluid, the upward force applied by the fluid on the object is the same as the weight of the fluid displaced by the object

How well did you know this?
1
Not at all
2
3
4
5
Perfectly
4
Q

determine frequency given wavelength

A

f λ= c

f = frequency (s-1 or Hz)

λ = wavelength (m)

c = speed of light (m/s)

How well did you know this?
1
Not at all
2
3
4
5
Perfectly
5
Q

Hz units

A

1/seconds or s-1

How well did you know this?
1
Not at all
2
3
4
5
Perfectly
6
Q

speed of light

A
How well did you know this?
1
Not at all
2
3
4
5
Perfectly
7
Q

electric field units

A

volts / meter

How well did you know this?
1
Not at all
2
3
4
5
Perfectly
8
Q

1 volt / meter =

A

1 Newton / coulomb

How well did you know this?
1
Not at all
2
3
4
5
Perfectly
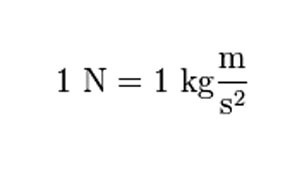
9
Q

newton units

A
How well did you know this?
1
Not at all
2
3
4
5
Perfectly
10
Q

volt units

A

joules / coulomb

How well did you know this?
1
Not at all
2
3
4
5
Perfectly
11
Q

1 joule =

A

1 newton meter

How well did you know this?
1
Not at all
2
3
4
5
Perfectly
12
Q

in phase vs out of phase (waves)

A
How well did you know this?
1
Not at all
2
3
4
5
Perfectly
13
Q

wavelength

A
How well did you know this?
1
Not at all
2
3
4
5
Perfectly