Fluids Equations Flashcards

(22 cards)

1
Q

density

A
How well did you know this?
1
Not at all
2
3
4
5
Perfectly
2
Q

Specific Gravity

A
How well did you know this?
1
Not at all
2
3
4
5
Perfectly
3
Q

Weight (given mass)

A
How well did you know this?
1
Not at all
2
3
4
5
Perfectly
4
Q

Weight (given density and volume)

A
How well did you know this?
1
Not at all
2
3
4
5
Perfectly
5
Q

Pressure

A
How well did you know this?
1
Not at all
2
3
4
5
Perfectly
6
Q

Absolute (hydrostatic) pressure

A
How well did you know this?
1
Not at all
2
3
4
5
Perfectly
7
Q

Gauge pressure

equation

A
How well did you know this?
1
Not at all
2
3
4
5
Perfectly
8
Q

What is guage pressure?

A
How well did you know this?
1
Not at all
2
3
4
5
Perfectly
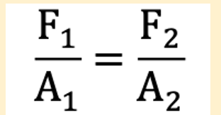
9
Q

Pascal’s Law

A

think hydraulic lifts

How well did you know this?
1
Not at all
2
3
4
5
Perfectly
10
Q

Buoyant Force

A
How well did you know this?
1
Not at all
2
3
4
5
Perfectly
11
Q

An object will float when…

A

buoyant force = weight of object

How well did you know this?
1
Not at all
2
3
4
5
Perfectly
12
Q

Poiseuille’s Law

A
How well did you know this?
1
Not at all
2
3
4
5
Perfectly
13
Q

Critical Speed

A

Critical speed is the speed at which turbulent flow will begin

How well did you know this?
1
Not at all
2
3
4
5
Perfectly
14
Q

Continuity Equation (flow rate)

A
How well did you know this?
1
Not at all
2
3
4
5
Perfectly
15
Q

Bernoulli’s Equation

A
How well did you know this?
1
Not at all
2
3
4
5
Perfectly
16
Q

When there is no significant change in elevevation, bernoulli’s equation tells us that…

pgh value cancel out

A

the pressure decreases as velocity increases

17
Q

Resistance to flow

A

opposite of flow rate (Poiseuille’s law); exclude pressure

18
Q

**

viscosity

definition

A

how easilty a fluid flows

resistance to flow

19
Q

incompressible fluid

A

a fluid with a constant density (cannot be compressed to a smaller volume)

20
Q

compressible fluid

A

can be compressed to a smaller volume, thus altering the density

21
Q

list 3 properties of an ideal fluid

22
Q

list 3 properties of a NON ideal fluid