Algorithms Flashcards

(15 cards)

1
Q

Describe the Finite difference Method.

A

The finite difference method is used to approximate derivatives using the following approximation.

How well did you know this?
1
Not at all
2
3
4
5
Perfectly
2
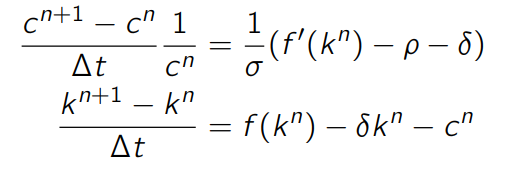
Q

What do the euler equations look like after usinf the First Difference approximation.

A
How well did you know this?
1
Not at all
2
3
4
5
Perfectly
3
Q

Describe the Shooting Algorithm

A

The Shooting Algorithm is used to find the initial consumption level in the growth model which will lead to the steady state.

First, guess C_0.
Second, iterate forward using the First-Diff. of the Euler equations.
Third, try a new C_0 as long as the sequence does not converge.

How well did you know this?
1
Not at all
2
3
4
5
Perfectly
4
Q

Explain and detail the first 3 steps of the deterministic Value Function Iteration Method.

A

In the VFI algorithm, we first start with an initial guess for the Value Function. Wehn then solve using our euler equation for the next period control variable. Then, input this value into our value function which will produce our next guess.

This technique converges to the best approximation given our guess.

How well did you know this?
1
Not at all
2
3
4
5
Perfectly
5
Q

Explain and detail the last 2 steps of Value Function Iteration Method for deterministic.

A
How well did you know this?
1
Not at all
2
3
4
5
Perfectly
6
Q

Explain and detail the first 3 steps of the deterministic Value Function Iteration Method.

A
How well did you know this?
1
Not at all
2
3
4
5
Perfectly
7
Q

Explain and detail the last 2 steps of Value Function Iteration Method for deterministic.

A
How well did you know this?
1
Not at all
2
3
4
5
Perfectly
8
Q

Explain the simulation method for finding the Stationary distribution in the heterogeneous
stochastic Growth Model.

A
How well did you know this?
1
Not at all
2
3
4
5
Perfectly
9
Q

Explain the Transition matrix Method method for finding the Stationary distribution in the heterogeneous stochastic Growth Model.

A
How well did you know this?
1
Not at all
2
3
4
5
Perfectly
10
Q

Explain the first 3 steps for finding the policy functions in the heterogeneous stochastic Growth Model using Euler Equation Iteration.

A
How well did you know this?
1
Not at all
2
3
4
5
Perfectly
11
Q

Explain the last 2 steps for finding the policy functions in the heterogeneous stochastic Growth Model using Euler Equation Iteration.

A
How well did you know this?
1
Not at all
2
3
4
5
Perfectly
12
Q

Explain the Power-Spaced Grids for finding the policy functions in the heterogeneous stochastic growth model

A
How well did you know this?
1
Not at all
2
3
4
5
Perfectly
13
Q

Explain the first 3 steps for finding the policy functions in the heterogeneous stochastic Growth Model using Endogeneous Grid Method.

A
How well did you know this?
1
Not at all
2
3
4
5
Perfectly
14
Q

Explain the last 2 steps for finding the policy functions in the heterogeneous stochastic Growth Model using Endogeneous Grid Method.

A
How well did you know this?
1
Not at all
2
3
4
5
Perfectly
15
Q

Explain the steps for finding the policy functions in the heterogeneous stochastic Growth Model using Endogeneous Grid Method with Cash-on-Hand.

A
How well did you know this?
1
Not at all
2
3
4
5
Perfectly