Lecture 5 Flashcards

(5 cards)

1
Q

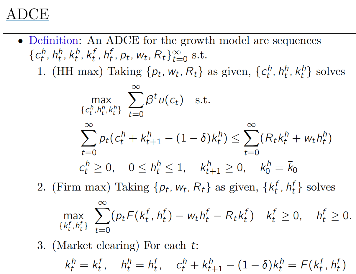
Define the Arrow-Debreu Competitive Equilibrium for the standard growth Model.

A
How well did you know this?
1
Not at all
2
3
4
5
Perfectly
2
Q

Define the Sequence of Markets Competitive Equilibrium for the standard growth Model.

A
How well did you know this?
1
Not at all
2
3
4
5
Perfectly
3
Q

Define the Bellman Equation formulation for the standard Growth Model.

A

Very similar to this.

How well did you know this?
1
Not at all
2
3
4
5
Perfectly
4
Q

In stochastic heterogeneous models, we must provide a probabilistic process for our random variable, for example income. Describe the process of creating a Discrete State Markov Process.

A
How well did you know this?
1
Not at all
2
3
4
5
Perfectly
5
Q

Write down the Bellman equation and the conditions needed in the Heterogeneous stochastic consumer savings problem.

A
How well did you know this?
1
Not at all
2
3
4
5
Perfectly