Random Flashcards

(7 cards)

1
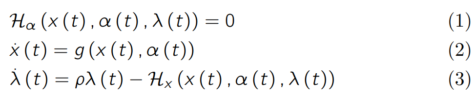
Q

+Write down the sufficient and necessary conditions to solve the continuous growth model using Hamiltonians

A
How well did you know this?
1
Not at all
2
3
4
5
Perfectly
2
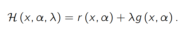
Q

What is the current value hamiltonian

A
How well did you know this?
1
Not at all
2
3
4
5
Perfectly
3
Q

What are the sufficient and necessary conditions to solve the Current Value Hamiltonian

A
How well did you know this?
1
Not at all
2
3
4
5
Perfectly
4
Q

What are the initial and transversality conditions in the continuous time growth model.

A
How well did you know this?
1
Not at all
2
3
4
5
Perfectly
5
Q

Given the continuous time growth model, give the equation of the first order approximation of the linearization around the steady state.

A
How well did you know this?
1
Not at all
2
3
4
5
Perfectly
6
Q

State the Transversality Condition both in Continuous Time

A
How well did you know this?
1
Not at all
2
3
4
5
Perfectly
7
Q

State the Transversality Condition both in Continuous Time

A
How well did you know this?
1
Not at all
2
3
4
5
Perfectly