Alkene reaction and mechanisms Flashcards

(18 cards)

1
Q

What is the reagent used for oxymercuration-demercuration reaction?

A
  1. Hg(OAc)2, H2O
  2. NaBH4
How well did you know this?
1
Not at all
2
3
4
5
Perfectly
2
Q

What is the reagent used for Hydrohalogenation reaction?

A

H-X

How well did you know this?
1
Not at all
2
3
4
5
Perfectly
3
Q

What is the reagent used for Acid-catalyzed hydration?

A

H3O+ or H2O & Acid Catalyze (usually acid catalyze like [H2SO4]

How well did you know this?
1
Not at all
2
3
4
5
Perfectly
4
Q

What is the reagent used in hydrogenation?

A

H2, Pt/ C (or Pd/C, Ni/C)

How well did you know this?
1
Not at all
2
3
4
5
Perfectly
5
Q

What is the reagents used for Hydroboration - oxidation reaction?

A
  1. BH3 * THF
  2. H2O2, NaOH
How well did you know this?
1
Not at all
2
3
4
5
Perfectly
6
Q

What is the reagents used in the halogenation reaction?

A

X2 (Br2 or Cl2) or NBS, NCS, NIS

How well did you know this?
1
Not at all
2
3
4
5
Perfectly
7
Q

What is the reagents used for halohydrin reaction?

A

X2 (Br2 or Cl2), H2O Or NBS, H2O; NCS, H2O; or NIS, H2O

How well did you know this?
1
Not at all
2
3
4
5
Perfectly
8
Q

What are the reagents used for Oxidative cleavage reaction (ozonolysis)?

A

O3, Zn, H2O Or KMnO4, H3O+

How well did you know this?
1
Not at all
2
3
4
5
Perfectly
9
Q

What are the Reagents used for Cyclopropanation reaction?

A

I-CH2-Zn-I (Simmons-smith reagent) or KOH, CHCl3

How well did you know this?
1
Not at all
2
3
4
5
Perfectly
10
Q

What is the mechanism of a Hydrohalogenation reaction?

A
  1. Proton transfer
  2. Nucleophilic Attack
How well did you know this?
1
Not at all
2
3
4
5
Perfectly
11
Q

What is the mechanism of a acid catalyzed hydration reaction?

A
  1. Proton transfer
  2. Nucleophilic attack
  3. Proton transfer
How well did you know this?
1
Not at all
2
3
4
5
Perfectly
12
Q

What is the mechanism for halogenation reaction?

A
  1. Double forms a bond with one of the halogens breaking the bond between the halogens
  2. Forms a cyclic compound with the halogen
  3. The other halogens does a nucleophilic attack and forms by an anti- addition
How well did you know this?
1
Not at all
2
3
4
5
Perfectly
13
Q

What is the mechanism for a halohydrin reaction?

A
  1. Forms a bond with one of the halogen by breaking the bond between them
  2. Forms a cyclic compound with the halogen & the the water attack on an opposite side(front or back) of the halogen
  3. Proton transfer
How well did you know this?
1
Not at all
2
3
4
5
Perfectly
14
Q

What is the mechanism for hydroboration-oxidation reaction?

A
  1. Form a bond with BH2-H by putting the BH2 on the least substituted position & H on the more substituted position
  2. H2O2, NaOH to turn the BH2 to an OH
How well did you know this?
1
Not at all
2
3
4
5
Perfectly
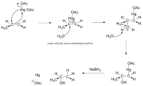
15
Q

What is the mechanism for a oxymercuration-demercuration reaction?

A
  1. Form a cyclic ring with Hg(OAc)
  2. Water attack the more substituted side of the compound (either from front or back)
  3. Proton transfer
  4. Then NaBH4 to turn Hg(OAc) to a H
How well did you know this?
1
Not at all
2
3
4
5
Perfectly
16
Q

Which is a strong reagent in oxidative cleavage reaction KMnO4,H3O+or O3, Zn,H2O ?

17
Q

When an Alkene that has H at the end of a double is treated with KMnO4 what happens?

A

Turn the H into an OH

18
Q

If an Alkene just has one R group (can be anything) & the everything else around the two carbons in an alkene is a Hydrogen and it goes through a oxidative cleavage reaction what are the products?

A

CO2 and the cleaved alkene with OH at the end