Backpropagation Flashcards

(12 cards)

1
Q

Hadamard product

A
How well did you know this?
1
Not at all
2
3
4
5
Perfectly
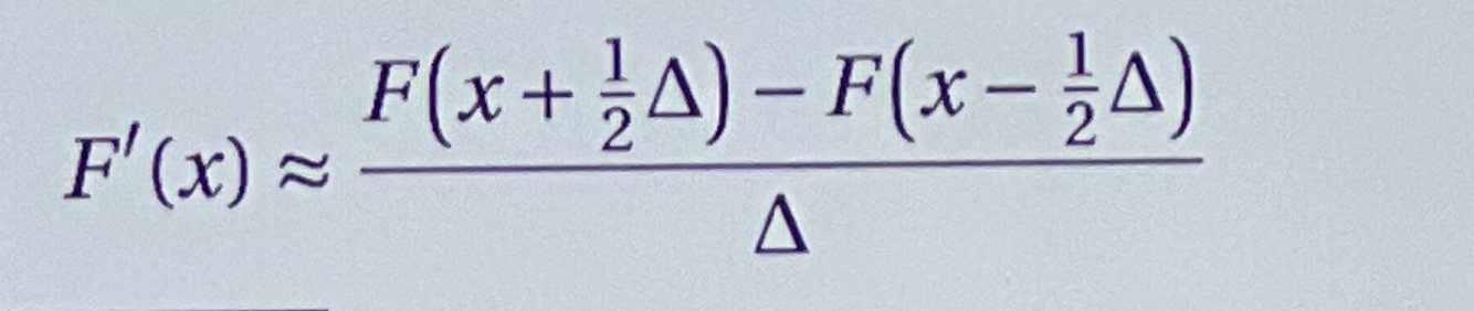
2
Q

Finite differences

And limitations of

A

Can be a poor approximation if F is highly non linear

How well did you know this?
1
Not at all
2
3
4
5
Perfectly
3
Q

Symbolic differentiation

Limitations?

A

A symbolic expression for F’(x) is derived using computer algebra, instantaneously applicable to any argument x

Problematic if F is a complicated function (eg composite of large number of functions)

How well did you know this?
1
Not at all
2
3
4
5
Perfectly
4
Q

Automatic differentiation

A

/algorithmic differentiation

Provides way to efficiently compute F’(x) The exactly, but for a chosen x only

BACKPROP is a special case of (backward mode) algorithmic differentiation

How well did you know this?
1
Not at all
2
3
4
5
Perfectly
5
Q

One line description of backprop

A

Computes gradient of empirical risk for a FNN

How well did you know this?
1
Not at all
2
3
4
5
Perfectly
6
Q

Per sample gradient

A
How well did you know this?
1
Not at all
2
3
4
5
Perfectly
7
Q

Introduce notation (required) to define back prop

A
How well did you know this?
1
Not at all
2
3
4
5
Perfectly
8
Q

Chain rule

A
How well did you know this?
1
Not at all
2
3
4
5
Perfectly
9
Q

Back prop procedure

A
How well did you know this?
1
Not at all
2
3
4
5
Perfectly
10
Q

Prove back prop

A
How well did you know this?
1
Not at all
2
3
4
5
Perfectly
11
Q

Forward pass

A

(3.13 is back prop procedure)

How well did you know this?
1
Not at all
2
3
4
5
Perfectly
12
Q

Formula for adjoint

A
How well did you know this?
1
Not at all
2
3
4
5
Perfectly