Week 1 Flashcards

(9 cards)

1
Q

what is generalisation

A

a general category of algorithm whereby:

  • pairs of data (xi, yi) are provided to the algo and for i in range 1, …, N
  • the algo creates a mapping from each x to each y, thereby it is able to generate a y given and x

this holds even if it has not seen the x before

How well did you know this?
1
Not at all
2
3
4
5
Perfectly
2
Q

Pro and con of supervised learning

A

Pro: well understood and performance is easy to measure

Con: labelling can be laborious

How well did you know this?
1
Not at all
2
3
4
5
Perfectly
3
Q

Pro and con of unsupervised learning

A

Pro: easy to implement at scale

Con: harder to understand and can only be used in specific scenarios (e.g: clustering)

How well did you know this?
1
Not at all
2
3
4
5
Perfectly
4
Q

Average loss

A

(Empirical risk)

How well did you know this?
1
Not at all
2
3
4
5
Perfectly
5
Q

Binary cross entropy loss

A
How well did you know this?
1
Not at all
2
3
4
5
Perfectly
6
Q

Neural network (notation)

A
How well did you know this?
1
Not at all
2
3
4
5
Perfectly
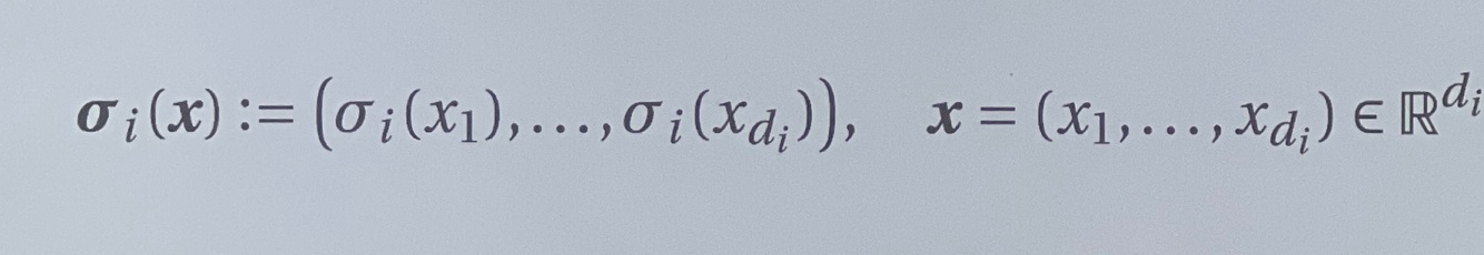
7
Q

Activation function

A
How well did you know this?
1
Not at all
2
3
4
5
Perfectly
8
Q

Deep NN

A

NN with multiple hidden layers

How well did you know this?
1
Not at all
2
3
4
5
Perfectly
9
Q

Squared lost

A
How well did you know this?
1
Not at all
2
3
4
5
Perfectly