Ex Sheets Flashcards

(4 cards)

1
Q

Prove

A
How well did you know this?
1
Not at all
2
3
4
5
Perfectly
2
Q

Prove

A

Crucially, we add a 0 vector to the bottom of the new Wi and a single zero to the new bi BUT Wi+1 adds a zero vector to the right side because the dim that increases is transposed

How well did you know this?
1
Not at all
2
3
4
5
Perfectly
3
Q

Regularisation has what effect on bias variance trade off

A

Slightly increases bias (improving generalisation)

But significantly decreases variance

How well did you know this?
1
Not at all
2
3
4
5
Perfectly
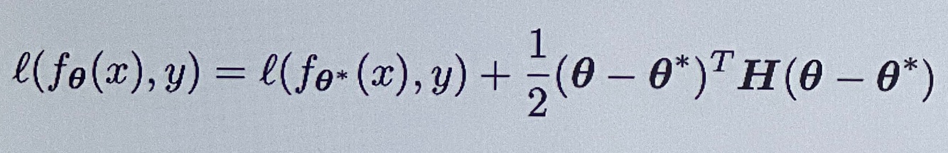
4
Q

L2 regularise this and then take grad of

A
How well did you know this?
1
Not at all
2
3
4
5
Perfectly