Binomial distribution Flashcards

(14 cards)

1
Q

what is Binomial ?
B (n,p)

A

the number of successes out of n trials, each with a probanility of p success

How well did you know this?
1
Not at all
2
3
4
5
Perfectly
2
Q

What is a binomial probability distribution?

A

Binomial coefficients are used to determine the probability of an event happening

How well did you know this?
1
Not at all
2
3
4
5
Perfectly
3
Q

What are the conditions required for probability being able to be calculated using binomial distribution?

A
  • F ixed number of (n) trials
  • Independnat outcomes
  • C onstant probability of success (p)
  • T wo outcomes : success & failure
How well did you know this?
1
Not at all
2
3
4
5
Perfectly
4
Q

How is a random variable X who’s outcome is the number of successes by being distributed Binomially?

A
How well did you know this?
1
Not at all
2
3
4
5
Perfectly
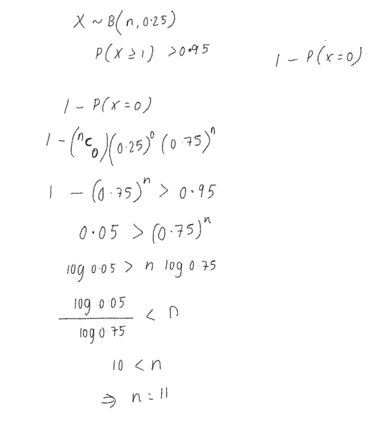
5
Q
A
How well did you know this?
1
Not at all
2
3
4
5
Perfectly
6
Q
A
How well did you know this?
1
Not at all
2
3
4
5
Perfectly
7
Q
A
How well did you know this?
1
Not at all
2
3
4
5
Perfectly
8
Q
A
How well did you know this?
1
Not at all
2
3
4
5
Perfectly
9
Q
A
How well did you know this?
1
Not at all
2
3
4
5
Perfectly
10
Q
A
How well did you know this?
1
Not at all
2
3
4
5
Perfectly
11
Q

what is the expected value and variance of binomial distribution?

A
  • E (x) = np
  • Var (x) = npq , where q is the probability of failure (1-p)
How well did you know this?
1
Not at all
2
3
4
5
Perfectly
12
Q

What is the proof for the Expected Value formula of Binomial distribution?

A
How well did you know this?
1
Not at all
2
3
4
5
Perfectly
13
Q

Summarise all of the means and variance of the 5 types of distributions

A
How well did you know this?
1
Not at all
2
3
4
5
Perfectly
14
Q

What is the proof for the variance of binomial distribution?

A
How well did you know this?
1
Not at all
2
3
4
5
Perfectly