Discrete Random Variables Flashcards

(22 cards)

1
Q

what does the random variable X represent?

A

a single trial/ experiment
* consisst of discrete outcomes each with a distinct probability

How well did you know this?
1
Not at all
2
3
4
5
Perfectly
2
Q

what does P(X= x) mean?

A

the probability that the outcome of the random variable X is the specific outcome x, eg: 1,2,3,4,5,6

How well did you know this?
1
Not at all
2
3
4
5
Perfectly
3
Q

what is the expected value E(X) ?

A

the mean outcome we would expect if we were to do our experiment many times

How well did you know this?
1
Not at all
2
3
4
5
Perfectly
4
Q

How would you find the expected value of the discrete random variable X?

E(X)

A

E(X)= Σ [(x ) (P(X=x)]

How well did you know this?
1
Not at all
2
3
4
5
Perfectly
5
Q

Find the expected value E(x) from the following tables

A
How well did you know this?
1
Not at all
2
3
4
5
Perfectly
6
Q

what do you notice about the expected value of a symetrical distribution?
eg:

A

the expected value is the central value

How well did you know this?
1
Not at all
2
3
4
5
Perfectly
7
Q

Solve the following equation

A
How well did you know this?
1
Not at all
2
3
4
5
Perfectly
8
Q

If x is the original random variable, what would 2x and x squared represent?

A
How well did you know this?
1
Not at all
2
3
4
5
Perfectly
9
Q

how would you find E(X^2)?

A

Σ [x^2][P(X=x)

How well did you know this?
1
Not at all
2
3
4
5
Perfectly
10
Q

Find E (X^2)

A
How well did you know this?
1
Not at all
2
3
4
5
Perfectly
11
Q

what is the formula for the Var(X) of a discrete random variable?

A

Var(X)= E(X^2) - E(X)^2
1. work out E(X)
2. find E(X^2) by using Σ (x^2)(P=x)
3. minus this from the E(X) squared

How well did you know this?
1
Not at all
2
3
4
5
Perfectly
12
Q

Solve the following question

A
How well did you know this?
1
Not at all
2
3
4
5
Perfectly
13
Q

what is the expectation for a linear function of a random variable?
1. E (aX +b)=
2. E (cX)=
3. E (d)=

rules of expectation

A
  1. aE(X) + b
  2. cE(X)
  3. d
How well did you know this?
1
Not at all
2
3
4
5
Perfectly
14
Q

what are the rules for variance of a linear function?
1. Var (aX)
2. Var (aX+b)
3. Var (c)

A
  1. a^2 Var(X)
  2. a^2 Var(X)
  3. 0
    * no variation in a constant
    * adding a constant does not change the variation as all values will have this added to
How well did you know this?
1
Not at all
2
3
4
5
Perfectly
15
Q

simplify the following

A
How well did you know this?
1
Not at all
2
3
4
5
Perfectly
16
Q

what are the simplified results for
1. E (X1 + X2)
2. E (X1- X2)

A
  1. E(X1) + E(X2)
  2. E(X1) - E(X2)
17
Q

What are the simplified results for
* Var (X1 + X2)
* Var (X1- X2)

A
  • Var (X1) + Var (X2)
  • Var (X1) + Var (X2)
18
Q

what do these linear combinations of random variables become?
1. E( aX + bY)
2. Var (aX + bY)

A
  1. aE(X) + bE(Y)
  2. a^2 Var(X) + b^2 Var(X)
19
Q

What is the variance?

A

a measure of how data points differ from the mean

20
Q

what is standard deviation?

A

square root of Var(X)

21
Q

Use calculator to find the following

22
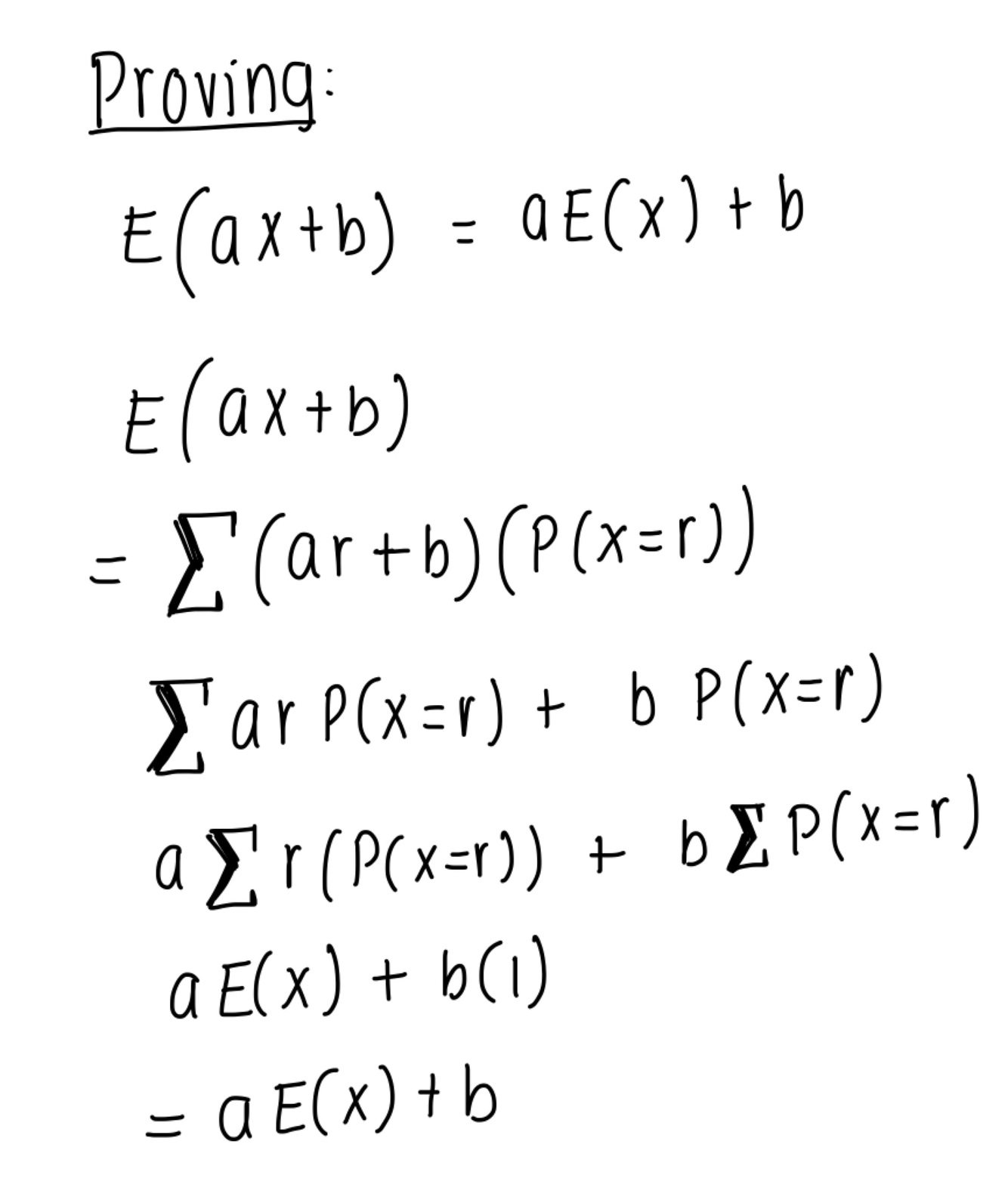
Q

Prove the E(aX +b) = aE(X) +b