PMCC Flashcards

(25 cards)

1
Q

What is an independent variable and dependant varaible ?

A
  • independant: traditionally drawn on x axis, not determined or affectd by the other
How well did you know this?
1
Not at all
2
3
4
5
Perfectly
2
Q

out the two which are independant variables and which are dependant?

weight of crop yeild or amount of rainfall while crop is growing

A
  • amount of rainfall: independnant
  • weight of crop yield: dependant
How well did you know this?
1
Not at all
2
3
4
5
Perfectly
3
Q

what are random variables?

A

not predicable

How well did you know this?
1
Not at all
2
3
4
5
Perfectly
4
Q

what are controlled variables?

A

non random, used to determine the effect on the other varible

How well did you know this?
1
Not at all
2
3
4
5
Perfectly
5
Q

what is correlation?

A

how close is a data to a straight line
perfect negative/positive = exaclty a straight line
* a type of association (linear association)

How well did you know this?
1
Not at all
2
3
4
5
Perfectly
6
Q

what does it mean for data to be ellipitcal?

A

can draw a lips /oval around it

How well did you know this?
1
Not at all
2
3
4
5
Perfectly
7
Q

misleading graphs?

A
How well did you know this?
1
Not at all
2
3
4
5
Perfectly
8
Q

what is the diffrence between correlation and association?

A
  • correlation is linear association
  • association can be non linear
How well did you know this?
1
Not at all
2
3
4
5
Perfectly
9
Q

what is the PMCC

A
  • Product moment correlation coefficent (PMCC)
  • gives a value betwen -1 and 1
How well did you know this?
1
Not at all
2
3
4
5
Perfectly
10
Q

what do the PMCC values represent?

A
How well did you know this?
1
Not at all
2
3
4
5
Perfectly
11
Q

what is a normal distribution?

A

bell shape symentric
* majority in the centre

How well did you know this?
1
Not at all
2
3
4
5
Perfectly
12
Q

what is bivariate normal distribution?

A
  • two varaibles are coming from normal distributions (random)
  • forming the eplitical shape
How well did you know this?
1
Not at all
2
3
4
5
Perfectly
13
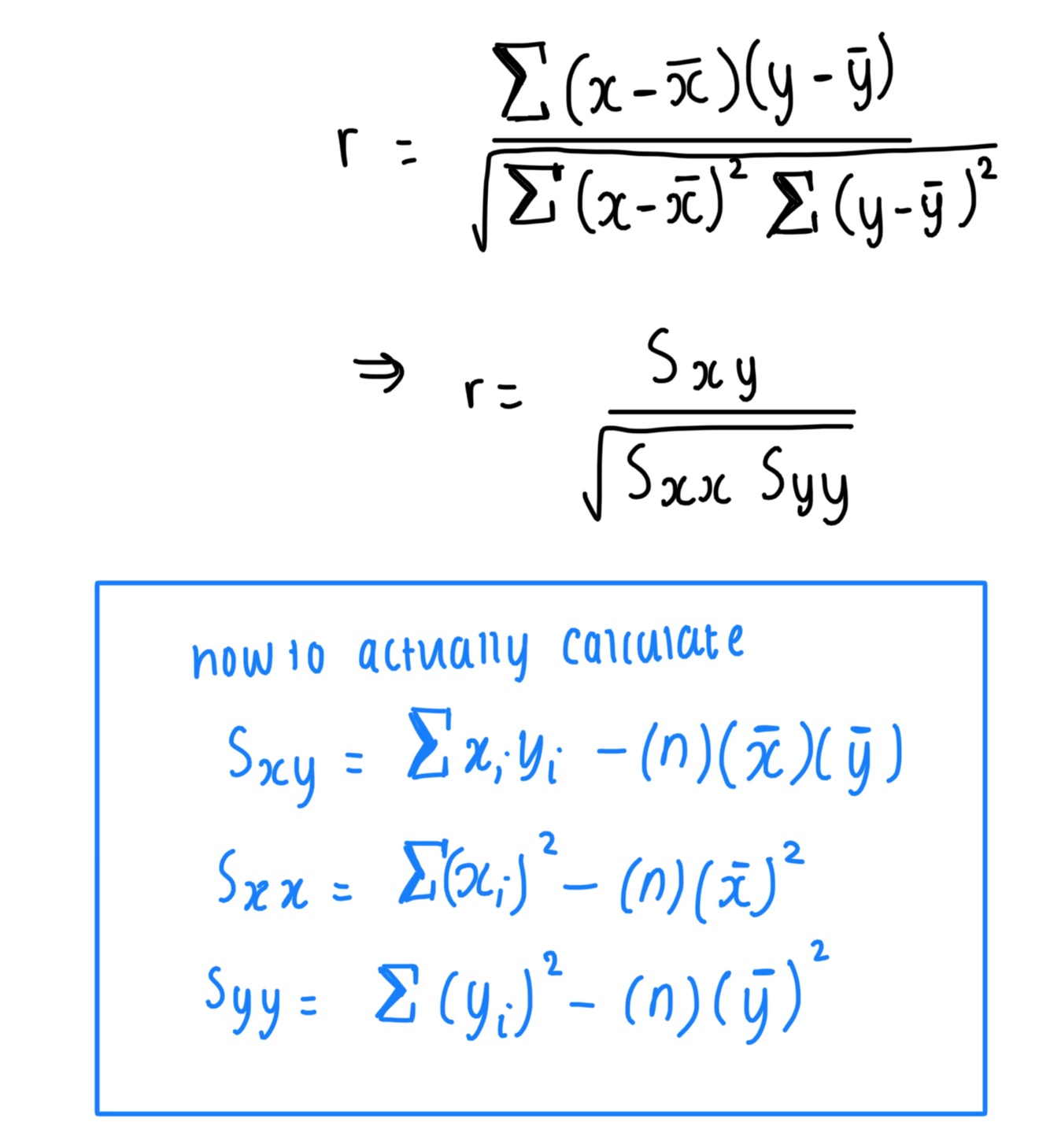
Q

What is the formula for the product moment correlation coefficient?

A
How well did you know this?
1
Not at all
2
3
4
5
Perfectly
14
Q
A
How well did you know this?
1
Not at all
2
3
4
5
Perfectly
15
Q
A
How well did you know this?
1
Not at all
2
3
4
5
Perfectly
16
Q

steps for hypothsis testing for PMCC

one tail test

A
  1. define p eg: Let p be the (parent) population correlation coefficent betwen exam scors and number of hours spent revising
  2. H0: p=0
  3. H1: p>/< 0 (one tailed test)
  4. calculate the value of r
  5. look at data shet table to find the critical value for n eg: For n=8 the 5% critical valye is 0.6215
  6. see if calculated value falls within region. If r > critical value, then r is significant, so we reject the null hypothesis
  7. write concluding statement
    *eg: There is evidence to suggest that ther is a positive correlation between exam scores and number of hours spent revising *
17
Q

steps for hypothsis testing for PMCC

two tail test

A
  1. define p eg: Let p be the (parent) population correlation coefficent betwen exam scors and number of hours spent revising
  2. H0: p=0
  3. H1: p ≠ 0 (two tailed test)
  4. calculate the value of r
  5. look at data shet table to find the critical value for n eg: For n=8 the 5% critical valye is 0.6215
  6. see if calculated value falls within region. If r > critical value, then r is significant, so we reject the null hypothesis
  7. write concluding statement
    *eg: There is evidence to suggest that ther is a any correlation between exam scores and number of hours spent revising *
18
Q

what is the siginificance level?

definition

A

the probability of rejecting the null hypothesis when in fact it is true

19
Q

what is the p value?

A

NOT THE R VALUE
* used to compared against significant level purley (no need for data sheet)
* for two tailed test half the given significance level

19
Q

what are cohens guidelines for effect size?

A
  • r=0.1 : small effect size
  • r=0.3 : medium effect size
  • r=0.5 : large effect size
20
Q

What modelling assumptions must be satisfied before it is valid to use PMCC in a hypothesis test?

A
  • both variables must be random (not control variables since they are not random)
  • data must be drawn from a normal bivariate population
21
Q
A

PMCC is only valid for random on random data and the speeds are controlled (so not random).
Since data is not random on random, it cannot be used

22
Q
A

Scatter graph not roughly in an elliptical shape (instead two islands)
This suggests that the underlying population did not have a bivariate normal distribution.

23
Q

What is significance level (example) ?

A

Eg: (significance level 1%) If there is no association between x and y only about 1 sample in 100 would lead to the conclusion that there is an association between x and y

25