Brosius Flashcards

(20 cards)

1
Q

Define Least Squares Method

A

A credibility weighted expectation of link ratio method (a=0) and budgeted loss method (b=0)

How well did you know this?
1
Not at all
2
3
4
5
Perfectly
2
Q

Assumptions using Least Squares Method

A

LSM assumes a steady distribution of random variables X and Y
It’s inappropriate if there is a systematic shift in the book of business

How well did you know this?
1
Not at all
2
3
4
5
Perfectly
3
Q

Formula for b and a in Least Square method

A
How well did you know this?
1
Not at all
2
3
4
5
Perfectly
4
Q

Problem with Least Squares Method

A

can result in weird numbers (a<0 or b<0)

How well did you know this?
1
Not at all
2
3
4
5
Perfectly
5
Q

Solutions to resolve weird results from Least Squares Method

A

(a<0): this will cause the estimate of developed losses (y) to be negative for small values of x. -> use the link ratio method instead
(b<0): this causes the estimate of y to decrease as x increases -> use budgeted loss method instead

How well did you know this?
1
Not at all
2
3
4
5
Perfectly
5
Q

For Least Squares method, what are the problems if a<0 or b<0? what are some of the possible corrections?

A

(a<0): estimate of developed losses (y) to be negative for small values of x. -> use the link ratio method instead
(b<0): estimate of y to decrease as x increases -> use budgeted loss method instead

How well did you know this?
1
Not at all
2
3
4
5
Perfectly
6
Q

Pros of Least Square Method

A

More flexible than link ratio, budgeted loss, and BF methods
Credibility weighting of the link ratio and budgeted loss estimates. Gives more/less credibility to the loss experience as appropriate

How well did you know this?
1
Not at all
2
3
4
5
Perfectly
7
Q

Hugh White’s Question -
Given the reported losses come in higher than expected, how will the different methods estimate different changes to outstanding loss reserve -

A

Budgeted Loss Method - decrease loss reserve estimate
BF Method - loss reserve is unchanged
Link Ratio Method - increase loss reserve estimate

How well did you know this?
1
Not at all
2
3
4
5
Perfectly
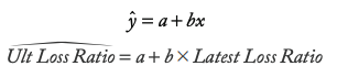
8
Q

What’s the purpose of Least-Squares Method

A

Least-Squares method fits a regression line through the data to estimate developed losses (or loss ratios, as below)

How well did you know this?
1
Not at all
2
3
4
5
Perfectly
9
Q

Estimates for developed losses for Link Ratio, Budgeted Loss, and Least Squares

A
How well did you know this?
1
Not at all
2
3
4
5
Perfectly
10
Q

In what special cases is Least Squares Method equal to Link Ratio or budgeted loss method

A

If future losses are totally uncorrelated to undeveloped losses, then b = 0 and L(x) =a
this will result in budgeted loss method

If the regression lien fits the origin, a = 0 and L(x)=bx
this will result in CL

How well did you know this?
1
Not at all
2
3
4
5
Perfectly
11
Q

How is the Least Squared Method more flexible than BF method

A

BF - Ult losses fixed b=1 so BF-Ult always equal to incurred losses + expected reserve
Least Squares allows b to vary and adjust this proportion of incurred losses to be weighted

Also LS method allows for negative development

How well did you know this?
1
Not at all
2
3
4
5
Perfectly
12
Q

what situations will result in problems for estimating parameters for the Least Squares Method

A
  • Significant changes to the nature o the loss experience in the book of business
  • Normal sampling error will lead to variance in a and b estimates (aka, noise instead of signal in loss data itself)
How well did you know this?
1
Not at all
2
3
4
5
Perfectly
13
Q

When is the Least Squares method appropriate to use? When is it inappropriate?

A
  • appropriate is we have a series of years of data where we can assume stable distributions for Y and X
    — we assume fluctuations are driven by random chance
  • inappropraite if yoy changes are due to systematic changes in the book of business (mix-of-shift)
    — other methods such as Berquist-Sherman may be better
How well did you know this?
1
Not at all
2
3
4
5
Perfectly
14
Q

What adjustments should be made to data prior to using Least Squares Development

A
  • If using incurred losses, correct data for inflation to put losses on a constant-dollar basis
  • If there is significant growth in the book, divide losses by an exposure basis to correct the distortion
How well did you know this?
1
Not at all
2
3
4
5
Perfectly
15
Q

Bayesian Credibility in a changing system

A

X/Y is the % emerged during current period

16
Q

What is a caseload effect?

A

when the caseload is low, a claim is more likely to be reported in a timely fashion than when caseloads are high

thus we expect the development ratio to be not a constant but a decreasing function of y

17
Q

Calculate Least Square Method Loss with credibility weights

A

where c is from Link ratio method and d is selected CDF

18
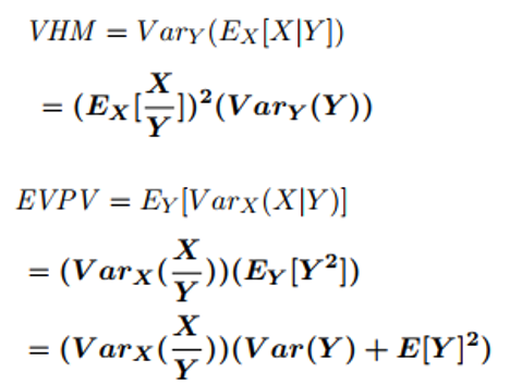
Q

Brosius Bayesian credibility purpose

A

if the book of business changes significantly, we can’t use the regular Least Squares. If we make a few assumptions about expected ult losses and percent reported then we can still use the data to calculate a Bayesian credibility of ult loss

19
Q

Formula for Brosius-Bayesian credibility

A

Z = VHM/(VHM+EVPV)