Taylor Flashcards

(13 cards)

1
Q

Formula for Exponential Distribution Family (EDF)

A
  • y is the value of an observation Y
  • θ is a location parameter called the canonical parameter
  • φ is a dispersion parameter called the scale parameter
  • b(θ) is the cumulant function, which determines the shape of the distribution
  • e c(y,φ)is a normalizing factor producing unit total mass for the distribution
How well did you know this?
1
Not at all
2
3
4
5
Perfectly
2
Q

Expected Value and Variance of EDF are as

A
How well did you know this?
1
Not at all
2
3
4
5
Perfectly
3
Q

Deriving Poisson from EDF

A
How well did you know this?
1
Not at all
2
3
4
5
Perfectly
4
Q

Tweedie sub-family distribution

A
How well did you know this?
1
Not at all
2
3
4
5
Perfectly
5
Q

Tweedie sub-family Expected Value and Variance

A
How well did you know this?
1
Not at all
2
3
4
5
Perfectly
6
Q

Selections to specify a GLM

A
  • Error distribution (one of EDF distribution, index p)
  • Explanatory variables xis
  • Link function h(), i.e. identity (no tranformation), log, logit
How well did you know this?
1
Not at all
2
3
4
5
Perfectly
7
Q

GLM Deviance

A
How well did you know this?
1
Not at all
2
3
4
5
Perfectly
8
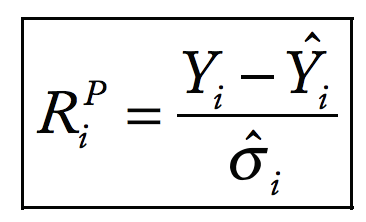
Q

Standardized Pearson Residuals and Model Validation

A

Standardized pearson residual should be random around zero (unbiased) and have constant variance (homoscedasticity)

How well did you know this?
1
Not at all
2
3
4
5
Perfectly
9
Q

Standardized deviance residuals

A

Standardized deviance should be normally distributed

How well did you know this?
1
Not at all
2
3
4
5
Perfectly
10
Q

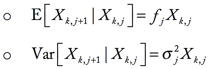
Non-Parametric Mack Model Assumptions

A
  • Accident years are stochastically independent (aka. just independent)
  • for each AY k, the cumulative loss Xk,j form a Markov Chain
  • for each accident year k and development period j, see below (fj is the ATA factor of age j)
How well did you know this?
1
Not at all
2
3
4
5
Perfectly
11
Q

Results of Mack Model

A

Result 1: the conventional chain ladder estimators fkj (ATA factor) are unbiased and minimum variance estimators (MVUE) that are unbiased linear combinations of the fkj
Result 2: the conventional chain ladder estimator Rk (reserve for AY k) is unbiased

How well did you know this?
1
Not at all
2
3
4
5
Perfectly
12
Q

Parametric Mack model assumptions

A

Same assumption as Non-Parametric Mack except:
- variance assumption is removed and driven by EDF selected

How well did you know this?
1
Not at all
2
3
4
5
Perfectly
13
Q

Theorem 1 regarding the EDF Mack Model

A
  • if the original Mack assumption also holds, then the MLEs of the fj parameters
How well did you know this?
1
Not at all
2
3
4
5
Perfectly