Siewert Flashcards

(35 cards)

1
Q

General approaches to evaluate excess ult. loss

A

Loss Ratio Approach
Implied Development Approach
Direct Development Approach
BF approach

How well did you know this?
1
Not at all
2
3
4
5
Perfectly
2
Q

Loss Ratio Approach when to use

A

When no data is available
Use for immature years where data is sparse

How well did you know this?
1
Not at all
2
3
4
5
Perfectly
3
Q

Loss Ratio Approach steps

A

get per occ excess losses
get per agg excess losses
add together above two

How well did you know this?
1
Not at all
2
3
4
5
Perfectly
4
Q

Pros and Cons for Loss Ratio Approach

A

Advantages -
can be used when no data is available or data is immature
loss ratio estimates can be consistently tied to pricing programs
relies on a more credible pool of company and industry experience

Disadvantages -
Ignores actual emerging experience
May not properly reflect account characteristics, since development may emerge differently due to the exposure written

How well did you know this?
1
Not at all
2
3
4
5
Perfectly
5
Q

Implied development approach steps

A
  • develop full coverage losses to ult
  • develop ded losses to ult
  • ult xs loss = ult GU - ult capped

need to index different limits for inflation to keep ded/excess level year-to-year

How well did you know this?
1
Not at all
2
3
4
5
Perfectly
6
Q

Benefits of high deductible programs

A
  • Price flexibility with additional risk passed to larger insureds
  • Improved residual market charges and premium taxes in some states
  • Realizing cash flow advantages (similar to those of paid loss retro policies)
  • Provides insureds a way to control losses while protecting against random, large losses
  • Allows “Self-Insurance” without having insured submitted to sometimes demanding state requirements
How well did you know this?
1
Not at all
2
3
4
5
Perfectly
7
Q

How to estimate the overall reserve while reflecting differing mixes of deductibles and limits

A

After selecting appropriate development factors, apply them at the account level using each account’s deductible & limits

Then aggregate the estimated ultimate over all accounts

How well did you know this?
1
Not at all
2
3
4
5
Perfectly
8
Q

Selecting the Loss Ratio for the Loss Ratio Method

A
  • Use the company experience by state and calculate the full-coverage loss ratio using an individual account’s premium distribution by state
  • We might blend that experience with industry experience with credibility

Note: Loss experience should be developed to ultimate, brought on level and trended to the appropriate exposure period for calculating loss ratios

How well did you know this?
1
Not at all
2
3
4
5
Perfectly
9
Q

Loss Ratio Method:
Estimate of per-occurrence excess losses

A
How well did you know this?
1
Not at all
2
3
4
5
Perfectly
10
Q

Loss Ratio Method:
Estimating the aggregate loss charge

A
How well did you know this?
1
Not at all
2
3
4
5
Perfectly
11
Q

Loss Ratio Method:
Advantages and Disasvantages

A

Advantages
- Useful when no data is available or data is very immature
- Loss ratio estimates can be consistently tied to pricing, initially
- Relies on a more credible pool of company and/or industry experience

Disadvantages
- Ignores emerging experience
—> Not very useful after several years of development
- May not properly reflect account characteristics and losses may develop differently due to type of exposure written

How well did you know this?
1
Not at all
2
3
4
5
Perfectly
12
Q

Implied Development Method

A
  • Unlimited loss tail factor should be consistent (higher) with limited tail
  • Limited LDFs must be calculated to reflect inflation-indexed limits at different accident years
How well did you know this?
1
Not at all
2
3
4
5
Perfectly
13
Q

Implied Development Method:
Indexed LDFs

A

To calculate limited LDFs for deductible loss, index limits for inflation:
- This keeps the proportion of deductible/excess losses constant around the limit from year to year
- Otherwise, a constant deductible implies increasing excess losses

Possible ways to determine the index:
Fit a line to average severities over the long-term history
Use an index that reflects the change in annual severity

How well did you know this?
1
Not at all
2
3
4
5
Perfectly
14
Q

Implied Development: Advantages and Disadvantages

A

Advantages
Provides an estimate for excess losses at early maturities, even when excess losses haven’t emerged
LDFs for limited losses are more stable than LDFs for excess losses

Disadvantages
Misplaced focus, because we would like to explicitly recognize excess loss development

How well did you know this?
1
Not at all
2
3
4
5
Perfectly
15
Q

Direct Development Method

A

Given limited and full coverage LDFs, there are XSLDFs that balance limited and excess development with full coverage development.

Disadvantages:
XSLDFs can be quite leveraged and volatile, therefore difficult to select
If no excess losses have emerged, we can’t estimate ultimate

How well did you know this?
1
Not at all
2
3
4
5
Perfectly
16
Q

Credibility-Weighted Method formula

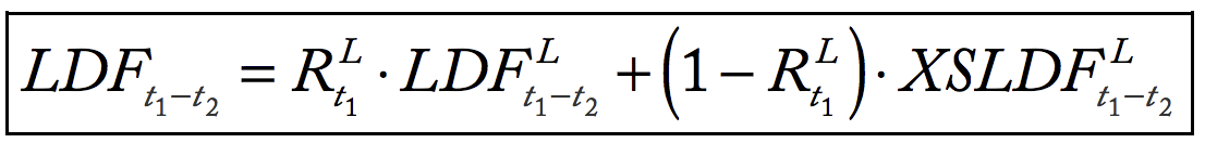
17
Q

Credibility weighted method: Advantages and Disadvantages

A

Advantages:
Ties with pricing estimates for inmature years where excess losses haven’t emerges
Estimates are more stable over time compared to direct development

Disadvantages:
Ignores actual experience for the complement of credibility
—> might use alternative credibility weights that are more responsive to actual experience if desired

18
Q

Limited Severity Relativity

A

Ratio between limited and unlimited severity

19
Q

Relationship between limited LDF, unlimited LDF, and severity relativities

A

C = counts
S = severity
R = severity relativity
t = age
L = limit

20
Q

Relationship between XSLDF, unlimited LDF, and severity relativities

21
Q

Relationship between Limited, XS, and unlimited LDFs

22
Q

Relationships between limited severity relativities over time

A

Severity relativity should decrease as age increase
-> more losses are capped at per-occurrence limits as age increase

Severity relativity should be higher for higher limits (and fall more slowly)
-> a higher limit means less of the loss is capped, so the relativity is high

23
Q

Distributional Model

A

Fit a model (e.g. Weibull) to severities in order to calculate consistent relativities and LDFs
-> this makes it easier to interpolate among limits and years

Distribution parameters vary over time by development period
-> Parameters can be estimated by minimizing chi-sq between actual and fitted severity relativities at deductible size
-> Constrain parameters so that the model produces the actual unlimited severity at maturity

24
Q

Partitioning expected development around the deductible limit

25
Relationship of excess and limited development over time
As development increases, an increasing portion of development is excess the deductible
26
Aggregate Loss Limit
Limits the total loss below the deductible that are paid by the insured
27
Collective Risk Model approach to Aggregate Limits
Model Freq and Sev separately --> Siewert uses Weibull for severity and Poisson for claim counts Combined freq and sev into a collective risk model Sample from collective risk model to calculate development factors --> Might improve by including parameter risk in the model Use the BF method with LDF from model to estimate the losses in excess to the aggregate limit
28
Relationship regarding development of losses excess of aggregate limits
Development for losses decrease more rapidly over time with smaller deductibles than larger ones -> because most later developments is in layers above to the limits Development is more leveraged for larger aggregate limits -> Takes longer for losses to breach the limits
29
BF method for aggregate limits
30
Service Revenue
Revenue for an insurer to service a claim under high ded program
31
Service Revenue Asset Formulas
32
Ways to handle allocated claims expense for high deductible programs
Account manages the expense --> Development pattern should be loss-only Treated as loss and subject to limit --> should use loss+ALAE for development patterns
33
Entry Ratio formula
Aggregate Limit / Limited Loss under ded limit
34
charge formula
aka. Excess ratio, = 1 - Limited Severity/E[Unlimited Sev @Ult]
35
Implied Development Method
- Unlimited tail factor should be consistently higher than limited tail - Limited LDFs must be calculated to reflect inflation indexed-limits at different AY