Calculus Flashcards

(104 cards)

1
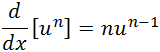
Q

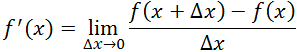
2.1 Definition of the Derivative of a Function

A
How well did you know this?
1
Not at all
2
3
4
5
Perfectly
2
Q

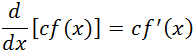
2.2: The Constant Rule

A
How well did you know this?
1
Not at all
2
3
4
5
Perfectly
3
Q

2.2: The Power Rule

A
How well did you know this?
1
Not at all
2
3
4
5
Perfectly
4
Q

2.2: The Constant Multiple Rule

A
How well did you know this?
1
Not at all
2
3
4
5
Perfectly
5
Q

2.2: The Sum and Difference Rules

A
How well did you know this?
1
Not at all
2
3
4
5
Perfectly
6
Q

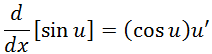
2.2: Derivative of Sine Function

A
How well did you know this?
1
Not at all
2
3
4
5
Perfectly
7
Q

2.2: Derivative of Cosine Function

A
How well did you know this?
1
Not at all
2
3
4
5
Perfectly
8
Q

2.3: The Product Rule

A
How well did you know this?
1
Not at all
2
3
4
5
Perfectly
9
Q

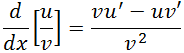
2.3: The Quotient Rule

A
How well did you know this?
1
Not at all
2
3
4
5
Perfectly
10
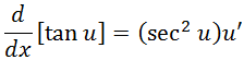
Q

2.3: Derivative of Tangent Function

A
How well did you know this?
1
Not at all
2
3
4
5
Perfectly
11
Q

2.3: Derivative of Cosecant Function

A
How well did you know this?
1
Not at all
2
3
4
5
Perfectly
12
Q

2.3: Derivative of Secant Function

A
How well did you know this?
1
Not at all
2
3
4
5
Perfectly
13
Q

2.3: Derivative of Cotangent Function

A
How well did you know this?
1
Not at all
2
3
4
5
Perfectly
14
Q

2.4: The Chain Rule

A
How well did you know this?
1
Not at all
2
3
4
5
Perfectly
15
Q

2.4: The General Power Rule

A
How well did you know this?
1
Not at all
2
3
4
5
Perfectly
16
Q

2.5: Guidelines for Implicit Differentiation

A
How well did you know this?
1
Not at all
2
3
4
5
Perfectly
17
Q

2.6: Guidelines for Rate-Related Problem

A
How well did you know this?
1
Not at all
2
3
4
5
Perfectly
18
Q

3.1: The Extreme Value Theorem

A
How well did you know this?
1
Not at all
2
3
4
5
Perfectly
19
Q

3.1: Guidelines for Finding Extrema on a Closed Interval

A
How well did you know this?
1
Not at all
2
3
4
5
Perfectly
20
Q

3.2: Rolle’s Theorem

A
How well did you know this?
1
Not at all
2
3
4
5
Perfectly
21
Q

3.2: The Mean Value Theorem

A
How well did you know this?
1
Not at all
2
3
4
5
Perfectly
22
Q

3.3: The First Derivative Test

A
How well did you know this?
1
Not at all
2
3
4
5
Perfectly
23
Q

3.3: The Derivative and Increasing and Decreasing Functions

A
How well did you know this?
1
Not at all
2
3
4
5
Perfectly
24
Q

3.4: Test for Concavity

A
How well did you know this?
1
Not at all
2
3
4
5
Perfectly
25
3.4: Points of Inflection
26
3.4: The Second Derivative Test
27
3.7: Guidlines for Solving Applied Minimum and Maximum Problems
28
3.8: Newton's Method for Approximating the Zeros of a Function
29
3.9: Tangent Line approximation of *f* at *c*
30
3.9: Differential of *y*
31
4.1: The Constant Rule of Integration
32
4.1:
33
4.1: The Constant Multiple Rule of Integration
34
4.1: The Sum and Difference Rules of Integration
35
4.1: The Power Rule of Integration
36
4.1: Integral of Cosine Function
37
4.1: Integral of Sine Function
38
4.1: Integral of Secant Squared Function
39
4.1: Integral of Secant Tangent Function
40
4.1: Integral of Cosecant Squared Function
41
4.1: Integral of Cosecant Cotangent Function
42
4.2: Summation Formulas
43
4.2: Finding Upper and Lower Sums for a Region
44
4.2: Definition of the Area of a Region in the Plane
45
4.4: Mean Value Theorem for Integrals
46
4.4: Average Value of a Function
47
4.4: The Second Fundamental Theorem of Calculus
48
4.4: The Net Change Theorem
49
4.5: The General Power Rule for Integrals
50
4.5: Change of Variables for Definite Integration
51
4.5: Change of Variables Integration
52
4.6: The Trapezoidal Rule
53
4.6: Errors in the Trapezoidal Rule
54
4.6: Simpon's Rule
55
4.6: Error in Simpson's Rule
56
5.1: Logarithmic Properties
57
5.1: The Derivative of Logarithmic Functions
58
5.2: Log Rule for Integration
59
5.2: Integral of the Tangent Function
60
5.2: Integral of the Secant Function
61
5.2: Integral of the Cosecant Function
62
5.2: Integral of the Cotangent Function
63
5.4: Derivative of Exponential Functions
64
5.4: Integral of Exponential Functions
65
5.6: Derivatives of Inverse Trigonometric Functions
66
5.7: Integrals Involving Inverse Trigonometric Functions Let *u* be a differentiable function of *x*, and let *a* \>0.
67
5.8: Definitions of Hyperbolic Functions
68
5.8: Derivatives of Hyperbolic Functions
69
5.8: Derivatives of Inverse Hyperbolic Functions
70
7.1: Area of a Region Between Two Curves
71
7.1: Area of a Region Between Two Intersecting Curves
72
7.2: The Disk Method of a Solid of Revolution
73
7.2: The Washer Method of a Solid of Revolution
74
7.2: Volume of Solids with Known Cross Section
75
7.3: The Shell Method of a Solid of Revolution
76
7.4: Length of a Curve
77
7.4: Area of a Surface of Revolution
78
7.5: Work Done by a Variable Force
79
7.5: Hooke's Law Equation
80
7.5: Newton's Law of Universal Gravitation
81
7.5: Coulomb's Law Equation
82
7.6: Moments and Center of Mass of a Planar Lamina
83
7.6: The Theorem of Pappus Equation
84
7.7: Definition of Fluid Pressure
85
7.7: Force Exerted by a Fluid
86
8.2: Integration by Parts
87
9.2: Geometric Series
88
9.3: The Integral Test
89
9.3: p-series
90
9.3: Harmonic Series
91
9.4: Direct Comparison Test for Convergen and Divergence
92
9.4: Limit Comparison Test
93
9.5: Alternating Series Test
94
9.5: Absolute and Conditional Convergence
95
9.6: The Ratio Test
96
9.6: The Root Test
97
9.7: Taylor Polyomial
98
9.7: Maclaurin Polynomial
99
8.5 Partial Fraction Decomposition Example:
100
9.2: Nth-term Test for Divergence
101
9.5: Alternating Series Remainder
102
9.8 Power Series
103
9.8: Finding the Interval of Convergence for Power Series
104
9.10: Taylor Series and Maclaurin Series