Differentiation Rules Flashcards

(20 cards)

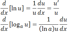
1
Q

5.1: The Derivative of Logarithmic Functions

A
How well did you know this?
1
Not at all
2
3
4
5
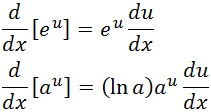
Perfectly
2
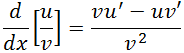
Q

2.3: The Quotient Rule

A
How well did you know this?
1
Not at all
2
3
4
5
Perfectly
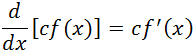
3
Q

2.3: Derivative of Cosecant Function

A
How well did you know this?
1
Not at all
2
3
4
5
Perfectly
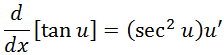
4
Q

2.3: Derivative of Tangent Function

A
How well did you know this?
1
Not at all
2
3
4
5
Perfectly
5
Q

2.2: The Constant Rule

A
How well did you know this?
1
Not at all
2
3
4
5
Perfectly
6
Q

5.8: Derivatives of Inverse Hyperbolic Functions

A
How well did you know this?
1
Not at all
2
3
4
5
Perfectly
7
Q

5.6: Derivatives of Inverse Trigonometric Functions

A
How well did you know this?
1
Not at all
2
3
4
5
Perfectly
8
Q

2.3: The Product Rule

A
How well did you know this?
1
Not at all
2
3
4
5
Perfectly
9
Q

2.4: The Chain Rule

A
How well did you know this?
1
Not at all
2
3
4
5
Perfectly
10
Q

2.3: Derivative of Cotangent Function

A
How well did you know this?
1
Not at all
2
3
4
5
Perfectly
11
Q

2.2: Derivative of Sine Function

A
How well did you know this?
1
Not at all
2
3
4
5
Perfectly
12
Q

2.2: The Constant Multiple Rule

A
How well did you know this?
1
Not at all
2
3
4
5
Perfectly
13
Q

5.4: Derivative of Exponential Functions

A
How well did you know this?
1
Not at all
2
3
4
5
Perfectly
14
Q

2.2: The Sum and Difference Rules

A
How well did you know this?
1
Not at all
2
3
4
5
Perfectly
15
Q

5.8: Derivatives of Hyperbolic Functions

A
How well did you know this?
1
Not at all
2
3
4
5
Perfectly
16
Q

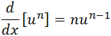
2.2: The Power Rule

17
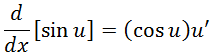
Q

2.2: Derivative of Cosine Function

18
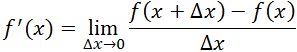
Q

2.1 Definition of the Derivative of a Function

19
Q

2.4: The General Power Rule

20
Q

2.3: Derivative of Secant Function