Chapter 4: Integration Flashcards

(21 cards)

1
Q

4.1: The Constant Rule of Integration

A
How well did you know this?
1
Not at all
2
3
4
5
Perfectly
3
Q

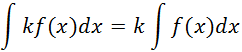
4.1: The Constant Multiple Rule of Integration

A
How well did you know this?
1
Not at all
2
3
4
5
Perfectly
4
Q

4.1: The Sum and Difference Rules of Integration

A
How well did you know this?
1
Not at all
2
3
4
5
Perfectly
5
Q

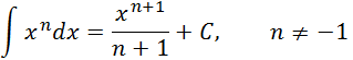
4.1: The Power Rule of Integration

A
How well did you know this?
1
Not at all
2
3
4
5
Perfectly
6
Q

4.1: Integral of Cosine Function

A
How well did you know this?
1
Not at all
2
3
4
5
Perfectly
7
Q

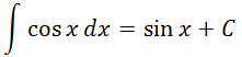
4.1: Integral of Sine Function

A
How well did you know this?
1
Not at all
2
3
4
5
Perfectly
8
Q

4.1: Integral of Secant Squared Function

A
How well did you know this?
1
Not at all
2
3
4
5
Perfectly
9
Q

4.1: Integral of Secant Tangent Function

A
How well did you know this?
1
Not at all
2
3
4
5
Perfectly
10
Q

4.1: Integral of Cosecant Squared Function

A
How well did you know this?
1
Not at all
2
3
4
5
Perfectly
11
Q

4.1: Integral of Cosecant Cotangent Function

A
How well did you know this?
1
Not at all
2
3
4
5
Perfectly
12
Q

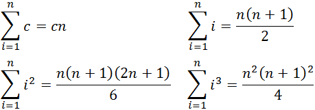
4.2: Summation Formulas

A
How well did you know this?
1
Not at all
2
3
4
5
Perfectly
13
Q

4.2: Finding Upper and Lower Sums for a Region

A
How well did you know this?
1
Not at all
2
3
4
5
Perfectly
14
Q

4.2: Definition of the Area of a Region in the Plane

A
How well did you know this?
1
Not at all
2
3
4
5
Perfectly
15
Q

4.4: Mean Value Theorem for Integrals

A
How well did you know this?
1
Not at all
2
3
4
5
Perfectly
16
Q

4.4: The Second Fundamental Theorem of Calculus

A
How well did you know this?
1
Not at all
2
3
4
5
Perfectly
17
Q

4.4: The Net Change Theorem

18
Q

4.5: The General Power Rule for Integrals

19
Q

4.6: The Trapezoidal Rule

20
Q

4.6: Simpon’s Rule

21
Q

4.6: Change of Variables for Definite Integration