solving quadratic equations: completing the square
3x² = 24x + 27

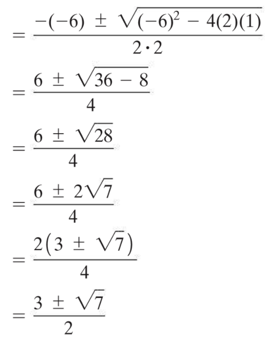
solving quadratic equations: quadratic formula
2x² - 6x + 1 = 12


solving quadratic equations: factoring
2x² - 5x = 12
differences of two cubes
64x³ - 125
factoring sum of cubes
x³ + 8
quadratic equation
x² + bx + c
factoring trinomials steps
x² + 6x + 8
factoring by grouping
x³ + 4x² + 3x + 12
factoring the greatest common factor
x²(x + 3) + 5(x + 3)
factoring the greatest common factor
18x³ + 27x²
what is the degree of the following polynomial:
4x⁵ - 6x³ + x² - 5x + 2
5
degree of a polynomial
the polynomial’s highest power of x
polynomial
difference of cubes
(a³ - b³) = (a - b)(a² + ab + b²)
sum of cubes
(a³ + b³) = (a + b)(a² - ab + b²)
a difference of squares (a² - b²) _____ be factored, but a sum of squares (a² + b²) _____
factor the following
(3x²)² - (5)²
(3x² - 5)(3x² + 5)
rewrite the following to show a difference of squares (a² - b²)
9x⁴ - 25
(3x²)² - (5)²
LogcC =
1
Logc1 =
0
rewrite log₃81 = x
3ˣ = 81
logarithms
2³=8 as log is …
