Limit Rules
Limit of a constant

The limit of a constant is the constant itself.
= a
Limit Rules
Limit of X

The limit of x is the “arrow number”
= c
Limit Rules
Constant Multiple Rule


Limit Rules
Sum Rule


Limit Rules
Difference Rule


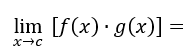
Limit Rules
Product Rule


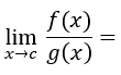
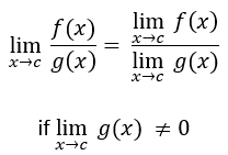
Limit Rules
Quotient Rule


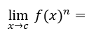
Limit Rules
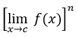
Power Rule


Limit Rules
Power Special Rule

c5
Limit Rules
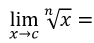
Root Special Rule


Limit Rules
Root Special Rule


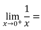
Limits to Memorize

∞
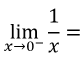
Limits to Memorize

-∞
Limits to Memorize

0
Limits to Memorize

0
Limits to Memorize


Limits to Memorize

0
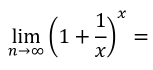
Limits to Memorize

e = 2.718
Limits to Memorize

0
Limits to Memorize

1
Limits to Memorize

cos c
Limits to Memorize

sec c
Limits to Memorize

sin c
Limits to Memorize

csc c