Chapter 11 Matrices Flashcards

(8 cards)

1
Q

Adding and Subtracting Matrices

A

A matrix can only be added to (or subtracted from) another matrix if the two matrices have the same dimensions . To add two matrices, just add the corresponding entries, and place this sum in the corresponding position in the matrix which results.

How well did you know this?
1
Not at all
2
3
4
5
Perfectly
2
Q

Multiplying Matrices

A

Can only work if C = C in the R x C of Matrix 1 and R x C of Matrix 2,

How well did you know this?
1
Not at all
2
3
4
5
Perfectly
3
Q

Matrix Algebra vs Ordinary Algebra

A
How well did you know this?
1
Not at all
2
3
4
5
Perfectly
4
Q

Inverse of a 2x2 Matrix

A

To find the inverse of a 2x2 matrix: swap the positions of a and d, put negatives in front of b and c, and divide everything by the determinant (ad-bc).

Considering the Matrix is A B
C D

How well did you know this?
1
Not at all
2
3
4
5
Perfectly
5
Q

Further Matrices Algebra

A
How well did you know this?
1
Not at all
2
3
4
5
Perfectly
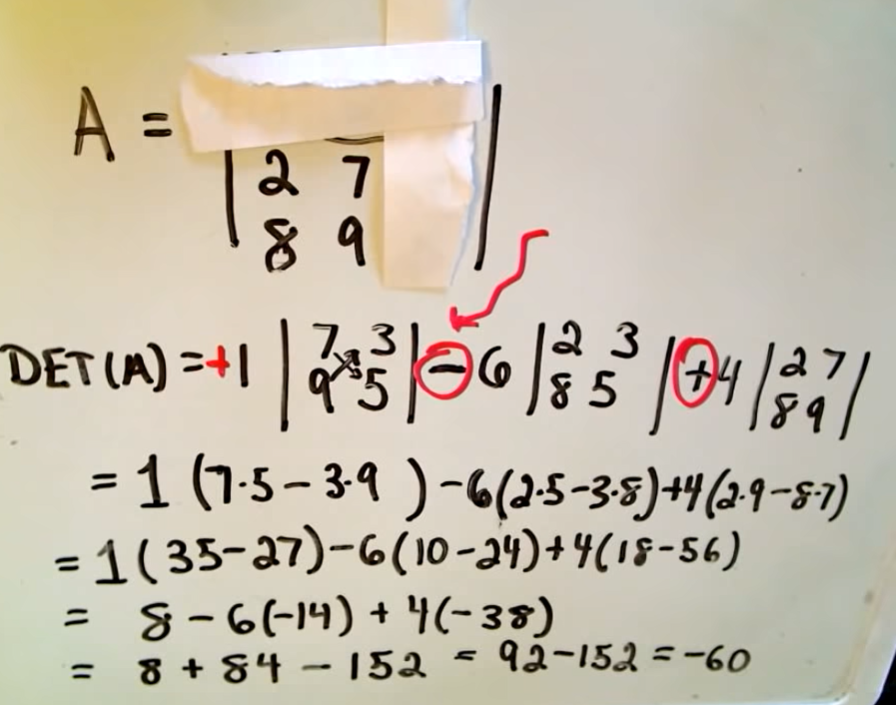
6
Q

Finding a determinant of a 3x3 matrix

A

Hide the row and column of the 2x2 determinant you’re finding

How well did you know this?
1
Not at all
2
3
4
5
Perfectly
7
Q

Inverse of 3x3 Matrix using Adjugate Pt.1

A

Transpose the matrix first, then find the determinant of 2x2 matrices

How well did you know this?
1
Not at all
2
3
4
5
Perfectly
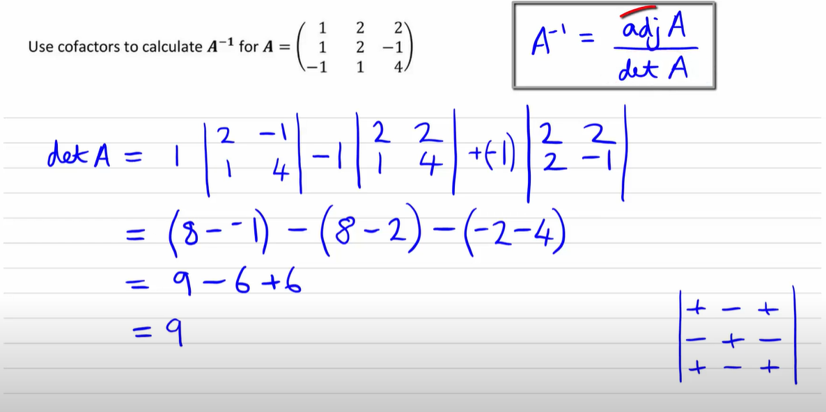
8
Q

Inverse of a 3x3 Matrix using Adjugate

A

Those + - symbols will stay constant and add to the adjugate,

To find determinant look at white pic, keep in mind the + - symbols

How well did you know this?
1
Not at all
2
3
4
5
Perfectly