Chapter 2 The Quadratic Function Flashcards

(6 cards)

1
Q

Steps to find roots: Alpha and Beta of a quadratic equation

A
How well did you know this?
1
Not at all
2
3
4
5
Perfectly
2
Q

Steps to find roots: Alpha Beta and Gamma Pt.1

A
How well did you know this?
1
Not at all
2
3
4
5
Perfectly
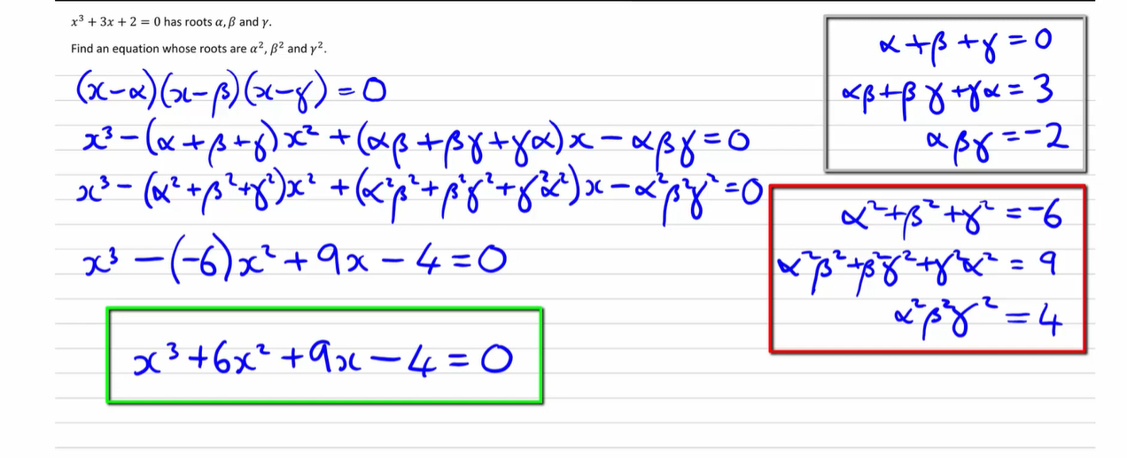
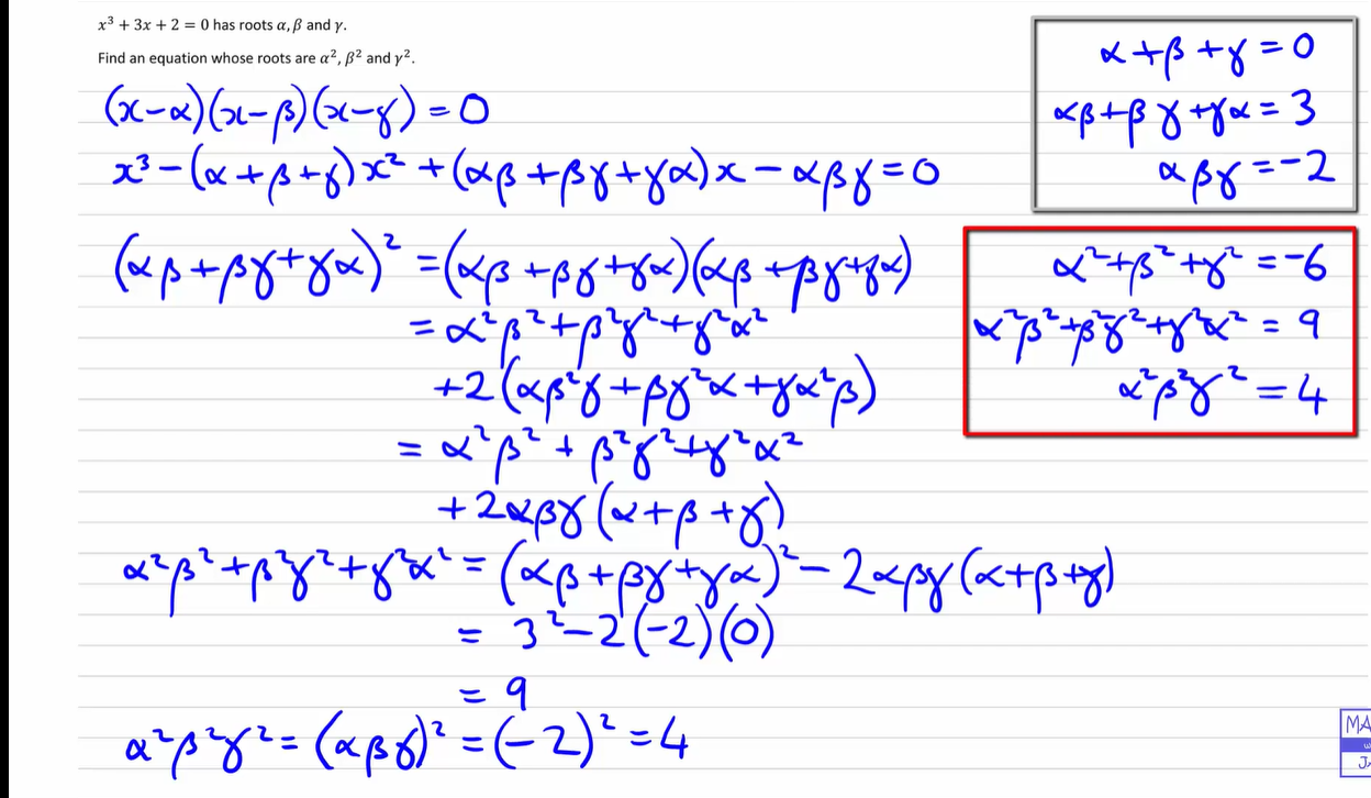
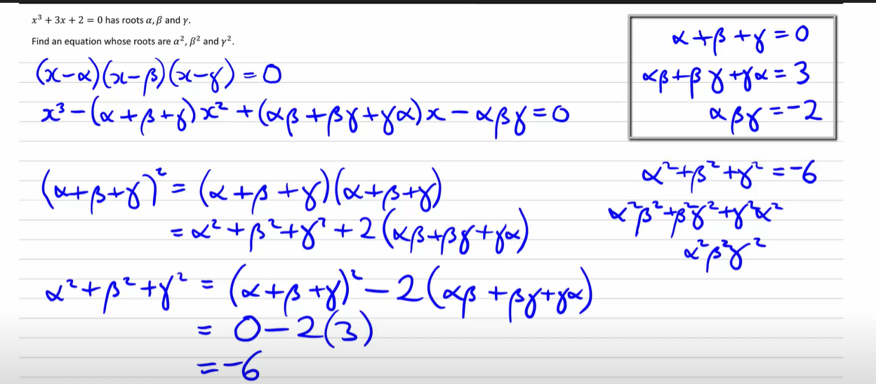
3
Q

Steps to find roots: Alpha Beta Gamma Pt.2

A
How well did you know this?
1
Not at all
2
3
4
5
Perfectly
4
Q

Steps to find roots: Alpha Beta and Gamma Pt.3

A
How well did you know this?
1
Not at all
2
3
4
5
Perfectly
5
Q

Quadratic equation and discriminant

A
Discriminant = b^2 - 4ac
Tells you what the roots are
= 1 has 2 roots
= 0 has 1 root
= -1 has no roots
How well did you know this?
1
Not at all
2
3
4
5
Perfectly
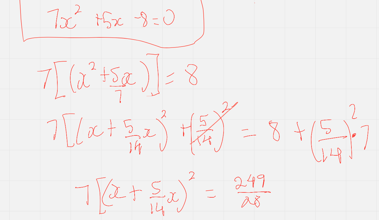
6
Q

Completing the square

A
How well did you know this?
1
Not at all
2
3
4
5
Perfectly