Chapter 7 Scalar and Vector Quantities Flashcards

(6 cards)

1
Q

Simple vector arithmetic and unit vector

A

Any vector parallel to vector a may be written as lambda (a)

Unit vector in the x axis = i and unit vector in the y axis = j

How well did you know this?
1
Not at all
2
3
4
5
Perfectly
2
Q

Parallel and non parallel vector rules

A
How well did you know this?
1
Not at all
2
3
4
5
Perfectly
3
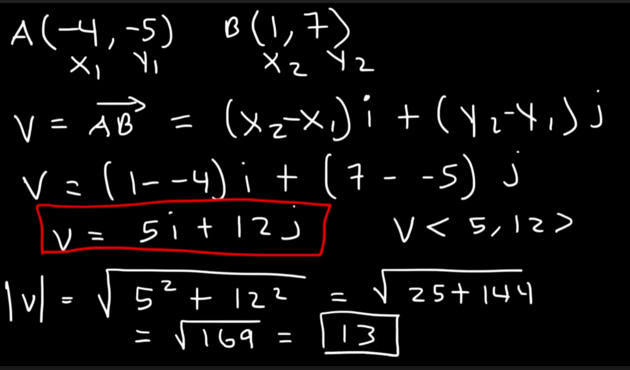
Q

How to express 2 coordinates in terms of i and j, and find the magnitude

A

Magnitude is given as modulus

How well did you know this?
1
Not at all
2
3
4
5
Perfectly
4
Q

Use vectors to demonstrate simple properties of geometrical figures

A
How well did you know this?
1
Not at all
2
3
4
5
Perfectly
5
Q

Cartesian components of a vector in 2 dimensions

A
How well did you know this?
1
Not at all
2
3
4
5
Perfectly
6
Q

Summary

A
How well did you know this?
1
Not at all
2
3
4
5
Perfectly