Chapter 20 Flashcards

(25 cards)

1
Q

indifference curve

A

An indifference curve is a tool from economics that, in this application, plots combinations of risk (standard deviation) and expected returns among which an investor is indifferent

How well did you know this?
1
Not at all
2
3
4
5
Perfectly
2
Q

Investor Utility Functions

A

investor’s utility functions represent their preferences regarding the trade-off between risk and return (i.e., their degrees of risk aversion).

How well did you know this?
1
Not at all
2
3
4
5
Perfectly
3
Q

Formula for expected return and SD of port. and the reduction of it since asset B is risk-free:

A
How well did you know this?
1
Not at all
2
3
4
5
Perfectly
4
Q

capital allocation line

A

The line representing these possible combinations of risk-free assets and the optimal risky asset portfolio is referred to as the capital allocation line.

How well did you know this?
1
Not at all
2
3
4
5
Perfectly
5
Q

When correlation goes down, what happens to the Standard Deviation ?

A

Correlation goes down and risk of portfolio goes down as well.

How well did you know this?
1
Not at all
2
3
4
5
Perfectly
6
Q

Step One:

Get the Mean Return

A
How well did you know this?
1
Not at all
2
3
4
5
Perfectly
7
Q

Step Two, get the port variance (standard deviation)

Know Formula

A
How well did you know this?
1
Not at all
2
3
4
5
Perfectly
8
Q

Step Three, get Covariance

Know Formula

A
How well did you know this?
1
Not at all
2
3
4
5
Perfectly
9
Q

Step Four, get the Correlation

Know formula for COVab and Pab

A
How well did you know this?
1
Not at all
2
3
4
5
Perfectly
10
Q

Formulas:

Var Port

Weight of asset 2 given W1

Correlation (2 formulas)

Variance of Portfolio with correlation instead of Cov

Var port = Sigma squared port so know the formula for this.

A

These are the steps

How well did you know this?
1
Not at all
2
3
4
5
Perfectly
11
Q

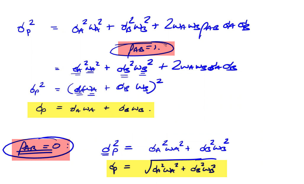
Formula for when correlation = 1 and when correlation = 0

A

Focus on highlight.
If corr are perfect positive, then use formula above
If correlation is zero , then use formula above.

How well did you know this?
1
Not at all
2
3
4
5
Perfectly
12
Q

The variance of returns is 0.09 for Stock A and 0.04 for Stock B. The covariance between the returns of A and B is 0.006. The correlation of returns between A and B is:

A
How well did you know this?
1
Not at all
2
3
4
5
Perfectly
13
Q

A portfolio was created by investing 25% of the funds in Asset A (standard deviation = 15%) and the balance of the funds in Asset B (standard deviation = 10%). If the correlation coefficient is -0.75, what is the portfolio’s standard deviation?

A
How well did you know this?
1
Not at all
2
3
4
5
Perfectly
14
Q

True or False, Expected returns are affected by correlation.

A

False, expected returns are UNAFFECTED by correlation

How well did you know this?
1
Not at all
2
3
4
5
Perfectly
15
Q

True or False, Combining assets that have lower correlation coeff get the same return for lower risk.

A

True

How well did you know this?
1
Not at all
2
3
4
5
Perfectly
16
Q

Global Min Variance Portfolio

A

the port that’s got the min variance OVERALL.

17
Q

Efficient Frontier

A

Set of port., among all the possible port of individual risky assets, that offers the highest expected return for each level of risk (standard deviation)

18
Q

Correlation Definition.

Interpretations:

Correlation of Zero

Correlation +1

Correlation -1

A

Correlation is LINEAR RELATIONSHIP.
We need correlation coeff to understand the RELATIVE DEGREE of covar of two assets A and B

Corr Coeff standardisze the covariance and puts boundaries (because covar doesn’t have boundaries).

We have -1 and +1, it measure strength of linera relationship .. the line between A and b.

Correlation cant be greater than +1 or -1.

Zero correlation means no movement in LINEAR relationship with X and Y. . One has no impact on another. One asset can rise, fall or do nothing and it has no impact on other asset.

Positive correlation 1 means they move together.
+1 it moves in identical method in rate and direction. So if market rise 10% then asset is expected to rise 10%

Negative correlation means it inverse so returns on X increases, return on Y decreases.
-1 they move in opposite direction at the same rate.

Perfect positive correlation (r = +1) of the returns of two assets offers no risk reduction…Corr =1 is the highest risk… if corrr equally you are not getting diversification benefit.

whereas perfect negative correlation (r = -1) offers the greatest risk reduction…. Corr lower than 1 you get some diversification benefit. Where our SD of portfolio will be less than the weighted SD of two assets together.

19
Q

When B is risk free, what is Var Formula

20
Q

Formula - Risk of overall portfolio that has a combo of risky +Rf

21
Q

Port with combo of risky + risk free expected return formula.

Formula Rewritten x 2

W(rf) formula

W(a) Formula

22
Q

Portfolio Standard Deviation formula if correlation = 1.0

A

W(a)O(a) + W(b)O(b)

Weight of asset A * Sigma A

23
Q

Port Standard Deviation Example:

24
Q

Port Returns Variance Formula.

SigmaRP Formula
Covar formula

Correlation=1 formula for SigmaRP
Correlation < 1 formula for Simga RP

A

Perfect positive correlation (r = +1) of the returns of two assets offers no risk reduction…Corr =1 is the highest risk… if corrr equally you are not getting diversification benefit.

whereas perfect negative correlation (r = -1) offers the greatest risk reduction…. Corr lower than 1 you get some diversification benefit. Where our SD of portfolio will be less than the weighted SD of two assets together.

***Correlation coeff falls, you get diversification benefit, getting hither or equal return with lower risk.

25
As corr coeff fall, what happens to variance and risk?
As corr fall, variance adn risk fall.