Chapter 3 Flashcards

(16 cards)

1
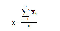
Q

Sample Mean

A

Mean = Sum values in sample / n observations

How well did you know this?
1
Not at all
2
3
4
5
Perfectly
1
Q

Median
Mean
Mode

A

Midpoint
Average
Most Frequent Number

How well did you know this?
1
Not at all
2
3
4
5
Perfectly
2
Q

Dispersion
Range
Mean Absolute Deviation

A

Dispersion is defined as variability around the central tendency

Range is distance between largest adn smallest value

MAD is average of absolute deviation from arithmetic mean

How well did you know this?
1
Not at all
2
3
4
5
Perfectly
3
Q

MAD Formula

A
How well did you know this?
1
Not at all
2
3
4
5
Perfectly
4
Q

Sample Variance ( S^2 )
Sample SD (s)

A
How well did you know this?
1
Not at all
2
3
4
5
Perfectly
5
Q

Coefficient Variation (CV)

Definition

Lower or Higher?

Formula

A

Measures the amount of dispersion in a distribution relative to distributions mean.

Lower CV is better; less risk per unit of return.

How well did you know this?
1
Not at all
2
3
4
5
Perfectly
6
Q

Target Downside Deviation

A
How well did you know this?
1
Not at all
2
3
4
5
Perfectly
7
Q

Positive Skew

A
How well did you know this?
1
Not at all
2
3
4
5
Perfectly
8
Q

Negative Skew

A
How well did you know this?
1
Not at all
2
3
4
5
Perfectly
9
Q

Kurtosis

Leptokurtic

A
How well did you know this?
1
Not at all
2
3
4
5
Perfectly
10
Q

Sample Covariance

A
How well did you know this?
1
Not at all
2
3
4
5
Perfectly
11
Q

Correlation

A

Sx = Variance of X
Sy = Variance of y

Sxy / (Sx)*(Sy)

How well did you know this?
1
Not at all
2
3
4
5
Perfectly
12
Q

Pearson Correlation Coefficient with example.

A
How well did you know this?
1
Not at all
2
3
4
5
Perfectly
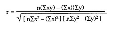
13
Q

Pearson Correlation Coefficient Formula

A
How well did you know this?
1
Not at all
2
3
4
5
Perfectly
14
Q

Sample Correlation Coeff

A
How well did you know this?
1
Not at all
2
3
4
5
Perfectly
15
Q

Population Correlation