Clark Flashcards

(29 cards)

1
Q

What are the main objectives for a statistical loss reserving model?

A
  • Have a tool to describe loss emergence mathematically that can aid in selecting carried reserves.
    → Expected loss emergence
  • Have a model that estimates a range around the expected reserve.
    → Distribution of loss emergence around the expectation
How well did you know this?
1
Not at all
2
3
4
5
Perfectly
2
Q

What are two underlying causes for reserve variablity?

A
  • Process Variance
    → Uncertainty due to randomness
  • Parameter Variance
    → Uncertainty in the estimate of expected value, aka estimation error
How well did you know this?
1
Not at all
2
3
4
5
Perfectly
3
Q

Model for the expected loss emergence pattern

A
How well did you know this?
1
Not at all
2
3
4
5
Perfectly
4
Q

Loglogistic G(x) formula

A
How well did you know this?
1
Not at all
2
3
4
5
Perfectly
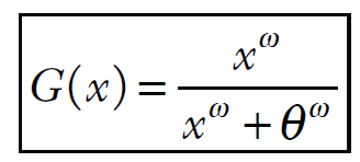
5
Q

Weibull G(x) formula

A
How well did you know this?
1
Not at all
2
3
4
5
Perfectly
6
Q

Comparison of Weibull and Loglogistic Curves

A
  • Weibull generally results in a smaller tail factor (“thinner” tail)
  • With the Loglogistic curve, there is more extrapolation in the tail
    → Might consider using a truncation point
How well did you know this?
1
Not at all
2
3
4
5
Perfectly
7
Q

When will a Weibull or Loglogistic claims emergence model NOT work?

A
  • When there is real, expected negative development (e.g. salvage and subrogation)
    o This model still works if some data points show negative development
How well did you know this?
1
Not at all
2
3
4
5
Perfectly
8
Q

Advantages to using parameterized curves to describe expected loss
emergence patterns

A
  • Estimating unpaid losses is simplified (only need 2 parameters)
  • Can also use data that’s not from a triangle with evenly spaced evaluation dates
  • Payout pattern, G(x), is a smooth curve and doesn’t overfit like age-to-age factors might
How well did you know this?
1
Not at all
2
3
4
5
Perfectly
9
Q

What are the underlying assumptions of the two Clark methods for
estimating ultimate losses?

A

LDF Method:
* Assumes the ultimate loss in each accident year is independent of losses in other accident years (this is like the chain ladder method)

Cape Cod Method:
* Assumes a constant expected loss ratio across all accident years

How well did you know this?
1
Not at all
2
3
4
5
Perfectly
10
Q

Expected incremental loss emergence for the LDF method

A
How well did you know this?
1
Not at all
2
3
4
5
Perfectly
11
Q

Truncated LDF formula

A
How well did you know this?
1
Not at all
2
3
4
5
Perfectly
12
Q

Expected incremental loss emergence for the Cape Cod method

A
How well did you know this?
1
Not at all
2
3
4
5
Perfectly
13
Q

Which expected loss emergence method is preferred according to Clark and
why?

A

The Cape Cod method is preferred.

When using a development triangle, data is summarized into relatively few
data points for a model.
-> This results in the problem of over-parameterization (overfitting) with the LDF method, which has n + 2 parameters to fit. The Cape Cod method only has 3 parameters.
-> Cape Cod method uses more information (premium exposure)
=> CC method has a smaller parameter variance (due to add’l info + fewer parameters)

  • CC process variance can be higher or lower than the LDF method
  • in general, CC produces a lower total variance than LDF method
How well did you know this?
1
Not at all
2
3
4
5
Perfectly
14
Q

How does the Cape Cod method take advantage of more information?

A
  • Cape Cod uses exposure base
    o This may lead to somewhat higher process variance, but usually results in much smaller estimation error (i.e. parameter variance)

Key Point:
Additional information reduces the variance in the reserve analysis, which also produces a better reserve estimate.

How well did you know this?
1
Not at all
2
3
4
5
Perfectly
15
Q

Variance/Mean Ratio

A
How well did you know this?
1
Not at all
2
3
4
5
Perfectly
16
Q

MLE for estimating best-fit parameters

17
Q

Advantage of the maximum loglikelihood function

A

it works in the presence of negative or zero incremental losses
(since we never actually take the log of c_i,t)

18
Q

Coefficient of Variation for Reserves

19
Q

Variance of Reserves

20
Q

Key Assumptions of LDF Curve Fitting and why they may not hold in
practice (1)

A

1 - Incremental losses are IID

  • Independent → One period doesn’t affect surrounding periods, BUT:
    o There may be positive correlation due to inflation on all periods
    o Neg. correlation if a large settlement replaces later payment streams
  • Identically Distributed → Emergence patterns are the same for all accident years, BUT:
    o Different risks and business mix would have been written in different accident years with different claims handling processes
21
Q

Key Assumptions of LDF Curve Fitting (2)

A

2 – Variance/Mean scale parameter σ^2 is fixed and known
* Impact → The model ignores the variance on the variance

3 – Variance estimates are based on an approximation to the Rao-Cramer lower bound

22
Q

Impact of the Key Assumptions about the LDF Curve Fitting Model

A

Future loss emergence potentially may have more variability than what the
model produces.

23
Q

Normalized Residual formula

24
Q

How to test if a fixed σ^2 is an appropriate assumption

25
Exposure bases for the Cape Cod method
On-Level Premium * Premium adjusted to a common rate level per exposure → Better than unadjusted so that market cycles don’t distort results → Cape Cod method assumes a constant ELR across accident years * We can make additional adjustment for loss trend net of exposure trend to get all years on the same cost level Other Options Original loss projections by year, estimated claim counts, …
26
Variance of Prospective Losses
27
Variance of Calendar Year Development formulas
28
what's the main conclusion of the Clark paper and what does it imply?
parameter variance is generally larger than the process variance implying that our need for more complete data (such as the exposure information in the CC method) outweighs the need for more sophisticated models
29
adjustments for different exposure periods