Siewert Flashcards

(27 cards)

1
Q

Benefits of high deductible programs

A
  • Price flexibility with additional risk passed to larger insureds
  • Improved residual market charges and premium taxes in some states
  • Cash flow advantages similar to those of paid loss retro policies
  • Provides insureds a way to control losses while protecting against
    random, large losses
  • Allows for easier “self-insurance” for insureds
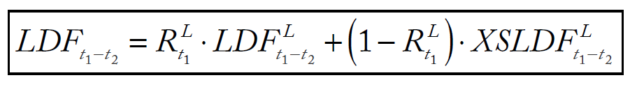
How well did you know this?
1
Not at all
2
3
4
5
Perfectly
2
Q

How to estimate the overall reserve while reflecting
differing mixes of deductibles and limits

A

After selecting appropriate development factors, apply them at the account
level using each account’s deductibles & limits.
Then aggregate the estimated ultimate over all accounts.

How well did you know this?
1
Not at all
2
3
4
5
Perfectly
3
Q

Selecting the Loss Ratio for the Loss Ratio Method

A
  • Use the company experience by state and calculate the full-coverage loss
    ratio using an individual account’s premium distribution by state
  • We might blend that experience with industry experience using
    credibility
    Note: Loss experience should be developed to ultimate, brought on level
    and trended to the appropriate exposure period for calculating loss ratios
How well did you know this?
1
Not at all
2
3
4
5
Perfectly
4
Q

Loss Ratio Method:
Estimate of per-occurrence excess losses

A
How well did you know this?
1
Not at all
2
3
4
5
Perfectly
5
Q

Loss Ratio Method:
Estimating the aggregate loss charge

A
How well did you know this?
1
Not at all
2
3
4
5
Perfectly
6
Q

Loss Ratio Method:
Advantages and Disadvantages

A

Advantages
* Useful when no data is available or data is very immature
* Loss ratio estimates can be consistently tied to pricing, initially
* Relies on a more credible pool of company and/or industry experience

Disadvantages
* Ignores emerging experience
→ Not very useful after several years of development
* May not properly reflect account characteristics and losses may develop
differently due to the type of exposures written

How well did you know this?
1
Not at all
2
3
4
5
Perfectly
7
Q

Implied Development Method

A
How well did you know this?
1
Not at all
2
3
4
5
Perfectly
8
Q

Implied Development Method:
Indexed LDFs

A
  • To calculate limited LDFs for deductible loss, index limits for inflation:
    o This keeps the proportion of deductible/excess losses constant
    around the limit from year to year
    o Otherwise, a constant deductible implies increasing excess losses

Possible ways to determine the index:
* Fit a line to average severities over the long-term history
* Use an index that reflects the change in annual severity

How well did you know this?
1
Not at all
2
3
4
5
Perfectly
9
Q

Implied Development:
Advantages and Disadvantages

A

Advantages
* Provides an estimate for excess losses at early maturities, even when
excess losses haven’t emerged
* LDFs for limited losses are more stable than LDFs for excess losses

Disadvantages
* Misplaced focus, because we would like to explicitly recognize excess
loss development

How well did you know this?
1
Not at all
2
3
4
5
Perfectly
10
Q

Direct Development Method

A
How well did you know this?
1
Not at all
2
3
4
5
Perfectly
11
Q

Credibility-Weighted Method formulas

A
How well did you know this?
1
Not at all
2
3
4
5
Perfectly
12
Q

Credibility-Weighted Method:
Advantages and Disadvantages

A

Advantages
* Ties with pricing estimates for immature years where excess losses
haven’t emerged
* Estimates are more stable over time compared to direct development

Disadvantages
* Ignores actual experience for the complement of credibility
→ Might use alternative credibility weights that are more responsive to
actual experience if desired

How well did you know this?
1
Not at all
2
3
4
5
Perfectly
13
Q

Limited Severity Relativity

A
How well did you know this?
1
Not at all
2
3
4
5
Perfectly
14
Q

Relationship between limited LDF,
unlimited LDF and severity relativities

A
How well did you know this?
1
Not at all
2
3
4
5
Perfectly
15
Q

Relationship between XSLDF,
unlimited LDF and severity relativities

A
How well did you know this?
1
Not at all
2
3
4
5
Perfectly
16
Q

Relationship between limited,
excess, and unlimited LDFs

17
Q

Relationship between limited severity relativities over time

18
Q

Distributional Model

A

Fit a model (e.g. Weibull) to severities in order to calculate consistent
severity relativities and LDFs.
→ This makes it easy to interpolate among limits and years
Distribution parameters vary over time by development period.
→ Parameters can be estimated by minimizing χ 2 between actual &
fitted severity relativities at the deductible size
→ Constrain parameters so that the model produces the actual unlimited
severity at maturity

19
Q

Partitioning expected development around the deductible limit

20
Q

Relationship of excess and limited development over time

A

As development age increases, an increasing proportion of development is
excess the deductible limit.

21
Q

Aggregate Loss Limit

A

Limits the total losses below the deductible that are paid by the insured

22
Q

Collective Risk Model approach to Aggregate Limits

A

1) Model frequency and severity separately
→ Siewert uses Weibull for severity and Poisson for claim counts
2) Combine frequency and severity into a collective risk model
3) Sample from collective model to calculate development factors
→ Might improve by including parameter risk in the model
4) Use the BF method with LDFs from model to estimate losses excess
the aggregate limit

23
Q

Relationships regarding development of losses
excess of aggregate limits

A
  • Development for losses excess aggregate limits decreases more rapidly
    over time with smaller deductibles than larger ones
    → Because most later development is in layers of loss above the
    deductible limit and not subject to the aggregate limit
  • Development is more leveraged for larger aggregate limits
    → Takes longer for losses to breach the aggregate limit
24
Q

BF Method for Aggregate Limits

25
Service Revenue
Revenue for an insurer to service claims under a high deductible program
26
Service Revenue Asset Formulas
27
Ways to handle allocated claims expense for high deductible programs
* Account manages the expense → Development patterns used should be loss-only * Treated as loss and subject to limits → Should use loss + ALAE for development patterns