Hurlimann Flashcards

(11 cards)

1
Q

Expected Loss Ratio using the incremental loss ratio approach

A
How well did you know this?
1
Not at all
2
3
4
5
Perfectly
2
Q

Loss ratio payout factor and loss ratio reserve factor formulas

A
How well did you know this?
1
Not at all
2
3
4
5
Perfectly
3
Q

Individual loss ratio claims reserve estimate

A

think: CL

How well did you know this?
1
Not at all
2
3
4
5
Perfectly
4
Q

Collective loss ratio reserve estimate

A

think: BF

How well did you know this?
1
Not at all
2
3
4
5
Perfectly
5
Q

Credibility-weighted loss ratio claims reserve (Benktander, Neuhaus, Optimal)

A
How well did you know this?
1
Not at all
2
3
4
5
Perfectly
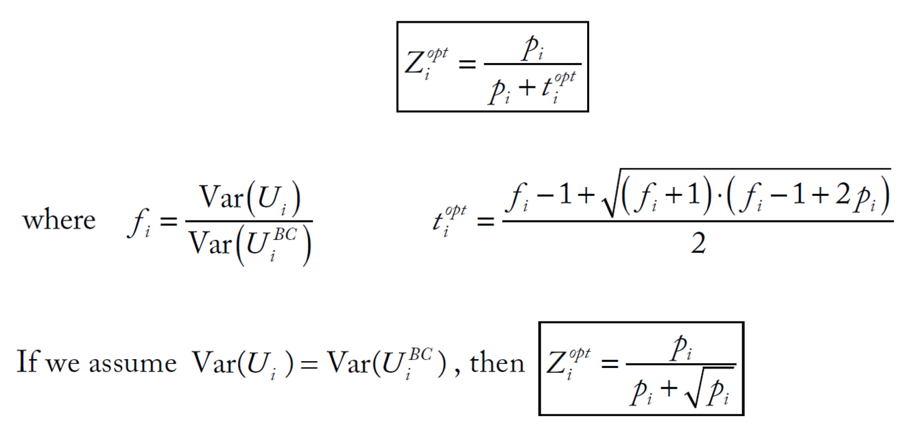
6
Q

Optimal credibility weights formulas

A
How well did you know this?
1
Not at all
2
3
4
5
Perfectly
7
Q

What is an advantage of the collective loss ratio claims reserve over the
traditional BF reserve?

A

Different actuaries come to the same result if the same premiums are used,
because judgment isn’t used to select the ELR.

How well did you know this?
1
Not at all
2
3
4
5
Perfectly
8
Q

How do the collective and individual loss ratio claims reserve estimates
represent two extremes?

A

Rind – Places 100% credibility on cumulative paid claims (Ci) and ignores
the burning cost estimate (UiBC)
Rcoll – Ignores cumulative paid claims (Ci) and places 100% credibility on
the burning cost estimate (UiBC)

How well did you know this?
1
Not at all
2
3
4
5
Perfectly
9
Q

Briefly describe three differences between Hurlimann’s method and the Benktander method.

A

-Hurlimann’s method is based on a full development triangle, whereas the Benktander method is based on a single accident year
-Hurlimann’s method requires a measure of exposure for each accident year (i.e. premiums)
-Hurlimann’s method relies on loss ratios (rather than link ratios) to determine reserves

How well did you know this?
1
Not at all
2
3
4
5
Perfectly
10
Q

Briefly describe one similarity between Hurlimann’s method and the Benktander method.

A

Similar to the Benktander method, Hurlimann’s method represents a credibility weighting between two extreme positions:
relies on cumulative paid claims (i.e. individual loss reserves)
vs. ignores cumulative paid claims (i.e. collective loss reserves)

How well did you know this?
1
Not at all
2
3
4
5
Perfectly
11
Q

Explain why ti* = sqrt (pi) is an appealing choice when calculating the optimal credibility weights.

A

This assumption yields the smallest credibility weights for the individual loss reserves,
which places more emphasis on the collective loss reserves

(as mentioned in the outline, this does not appear to be correct. As f increases from f = 1, less weight is placed on the individual loss reserves. That being said, I think there’s a possibility this could be asked on the exam. If so, stick with what the author says)

How well did you know this?
1
Not at all
2
3
4
5
Perfectly