What two options of samples must we consider?
What is meant by independent samples?
Observation of X is unrelated to observation of Y, no association between samples
What is meant by paired samples?
Each X is “paired with” a similar Y, before\after measurements
What two distinct approaches can our method take?
What is meant by a parametric method?
Assume distributions for X, Y. Test difference in population means by comparing parameters.
What is meant by a non-parametric method?
No assumed distribution, no parameters to compare
What is the null hypothesis for an independent sample t-test?
No difference in means -

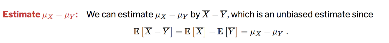
How do we estiamte μx - μy by in the independent sample t-test?

What is the variance of estimate for independent sample t-tests?

How is the following distributed?


How does the following simplify under the hull hypothesis H0: μx - μy = 0?


When σ2 is unkown in the following what do we estimate it with?

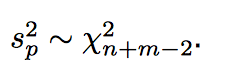
Pooled sample variance
Define the pooled sample variance.

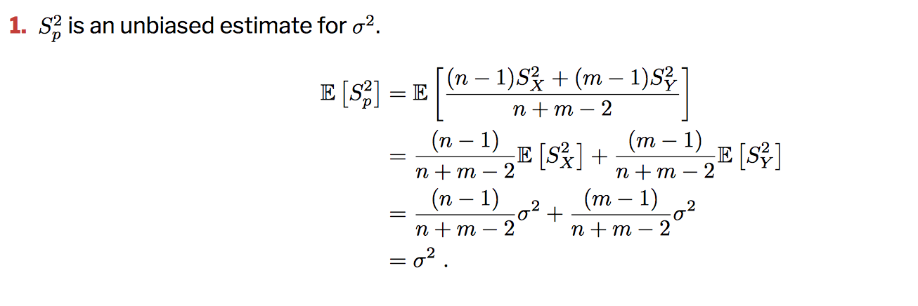
What are two properties of the pooled sample variance?

Prove the following property of the pooled sample variance.


Prove the following property of the pooled sample variance.


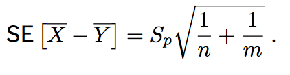
What is the standard error of the following?


What is the theorem about the independent sample t statistic?

Prove the following theorem.


What is the significance test of the hypothesis and confidence interval for the independent sample t-test?

What are three assumptions to do the independent sample t-test?

How do we check the following three assumptions?


What is independent in the paired sample t-test?
X, Y are correlated but each pair is independent.
What is the Cov[X,Y] in the paired sample t-test?
Cov[X,Y] = ρσXσY