Define a probability density function.

Define a cumulative distribution function.

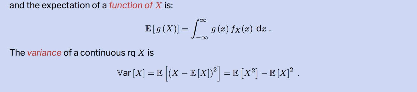
Define expectation and variance.

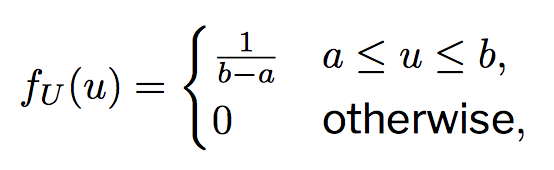
What is the pdf for the uniform distribution?

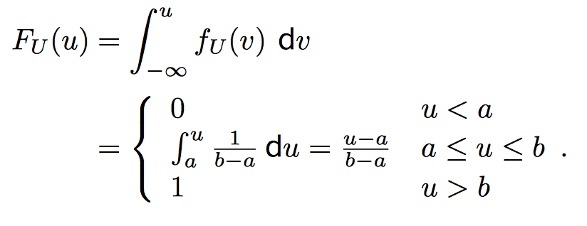
What is the cdf for the uniform distribution?

What is the standard uniform distribution?
a = 0, b = 1 so U ∼ u(0,1)
What is the pdf and cdf of the standard uniform distribution?
How do you derive the cdf of the exponential using the Poisson distribution?

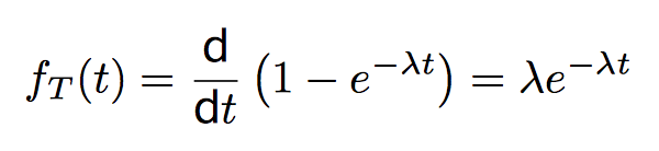
What is the pdf of the exponential distribution?

How do you find the pdf of the exponential distribution, once you have derived the cdf?
Differentiate it
What is a similarity between the exponential and gamma distribution?
How do we derive the cdf of the Gamma distribution?

Given the cdf of the Gammas distribution, differentiate it to find the pdf.


Define the Gamma distribution.

What does Γ(1/2)
sqrt(π)
What does Γ(n) equal when n i an integer?
(n-1)!
What are three properties of the Gamma distribution?

Prove the 𝔼(W) = α/β for the Gamma distribution.

What does the pdf and cdf look like for U ∼ u[a,b]?

What does the pdf and cdf look like for T ∼ Exp(λ)?

What does the pdf and cdf look like for W ∼ Ga(α,β)?

If we have a continuous random quantoty X with pdf fX(x), and y = g(x) what are the two methods to find the distribution and denisty of Y?
What are the two steps in the cumulative distribution method?

What pdf fX(x) and function g(X) do you combine to get the a chi squared distribution?
Z ∼ N(0,1) then Y = Z2