Define simple linear regression.

What is the equation for ε?

What are four important assumptions about ε?

What do the following four assumptions imply?


What is the least squares estimate theorem?

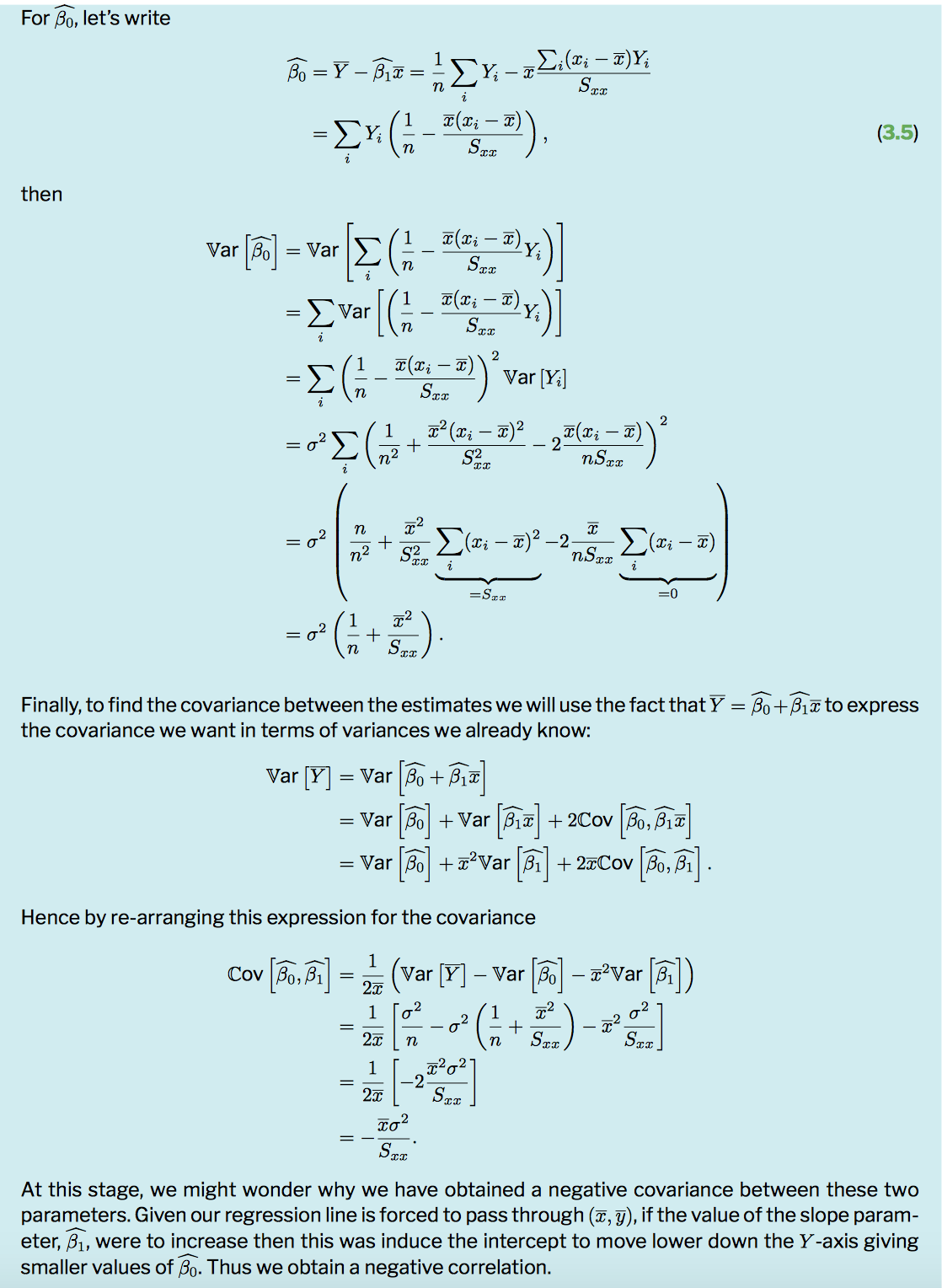
Finish the following theorem.


Prove the following theorem.


Finish the following theorem.


Prove the following theorem.

