What does it stand for?
(a) s
(b) u
(c) v
(d) a
(e) t
(a) s - displacement
(b) u - initial velocity
(c) v - final velocity
(d) a - acceleration
(e) t - time
When can ‘suvat’ equations be applied?
If the acceleration is constant
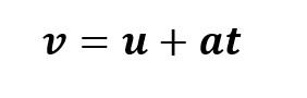
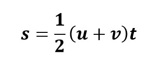
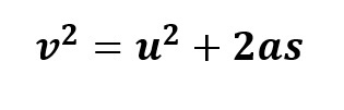
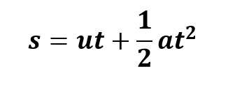
Which one of the suvat equations does not consist of letter ‘s’?

Which one of the suvat equations does not consist of letter ‘a’?

Which one of the suvat equations does not consist of letter ‘t’?

Which one of the suvat equations does not consist of letter ‘v’?

Which one of the suvat equations does not consist of letter ‘u’?
