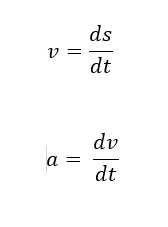
Given that equation is s=f(t), explain how would you find velocity and acceleration.

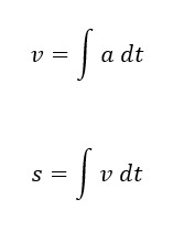
Given the equation of acceleration, explain how would you find both velocity and displacement.

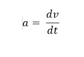
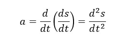
Below is one of the notation of acceleration. State the second notation.


Given r = f(t)i + g(t)j, Fill in the gaps on the diagram below:


Which direction does the force F must act in?
Since F=ma, the force F must act in the direction of acceleration.