State the component of a vector 4i+j in a column vector form.

What is the magnitude of a vector?
It’s the length of the vector.
How can the magnitude of a vector be found?
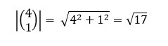
Find the magnitude of a vector 4i+j.
Using Pythoagoras’ Theorem.

What is a difference between ‘scalar quantity’ and ‘vector quantity’ ?
Scalar quantity - just magnitude is needed
Vector quantity - magnitude and direction is needed
State the difference between ‘displacement vector’ and ‘position vector’.
Displacement vector can start anywhere.
Position vector always starts from the origin.
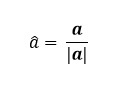
What is the formula for the unit vector?

What is the formula for velocity?
