Define a continuous rv
A random variables that has an infinite amount of outcomes. Note that probability is assigned to a range, the probability of any given value = 0
Define a probability density function
A pdf is a function f that satisfies:

Define the cumulative distribution function F
note that we can find f(x) from F(x) by differenting

Give four properties of the cdf

Give E(X) if X is a crv
Note: the integral must be < ∞

State the E(Y) if Y = g(X)

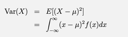
Give Var(X) if X is a crv
Note that the standard deviation is the positive square root of the variance

Give four properties of expectation and variance

Define the median of a crv

Define the mode of a crv
This can be found by finding the stationary points of the pdf

Define the case for which two crvs, X and Y, are independent
Note that E(XY) = E(X)E(Y) still holds for crvs

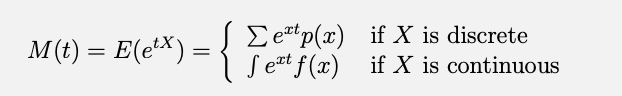
Give the formulae for the moment generating function, M(t)

Describe how to obtain E(Xk) using the mgf

Give the mgf of Y where Y = aX + b, given that X has mgf Mx(t)

Give the proper notation of the uniform distribution over the interval a,b

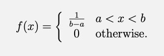
Give the pdf of a uniformly distributed crv over the interval a,b

State the E(X) of the uniform distribution over the interval a,b

Describe the exponential random variable and give its proper notation
X is defined as the continuous time or interval in space until the first event takes place

Give the CDF of the exponential distribution

Give the pdf of the exponential distribution

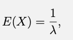
State the E(X) of the exponential distribution

State the Var(X) of the exponential distribution

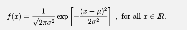
Give the pdf of the gaussian distribution
Note: the Gaussian distribution is the same as the normal distribution

Give the proper notation for the normal/gaussian distribution
