Give the three axioms of probability

Generally define P(A) where A ⊆ Ω and the probability of each event in the sample space is equal

Give the definition of conditional probability

Give the definition of a partition

Give the definition of the total probability law
Note: this is also known as partition theorem

Give Bayes Theorem

Give the general formula for the unions of sets

Give the general formula for the intersections of sets

Describe the case for which permutations are being discussed and give an example
When we have n different units and want to place them at n different positions. The order does matter
E.g, in how many ways can 3 children be lined up
State how many ways there are to arrange n items into n positions
n!
State how many ways there are to arrange r out of n items into different positions

Describe the case for which combinations are being discussed and give an example
When we have n different units and want to select some of them to be in a group. The order of selection does not matter.
E.g in how many ways can we select two letters from A, B, C and D
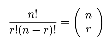
State how many ways there are to choose r of them out of a total n

Give an equation linking combinations and permutations

State how many ways there are of putting n distinct units into k different groups, each group containing a fixed ni
