Define a confidence interval

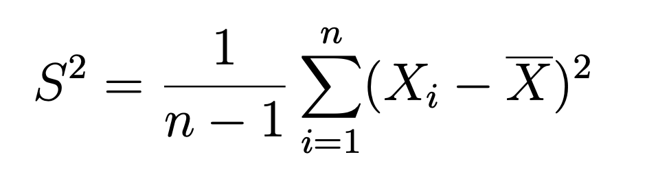
Give the equation for S2
Note: We assume the sample comes from a normal distribution. S2 is a random variable as it is a transformation of the random sample variables

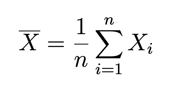
Give the equation for x̄ (X bar)
Note: we assume the sample comes from a normal distribution. X bar is a random variable as it is a transformation of the random sample variables

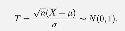
Give the test statistic needed to construct a (1-α) confidence interval for unknown mean µ and we know population variance σ2
This can be rearranged to find µ

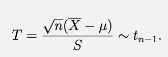
Give the test statistic needed to construct a (1-α) confidence interval for unknown mean µ and we do not know population variance
Note: we can rearrange T to find µ

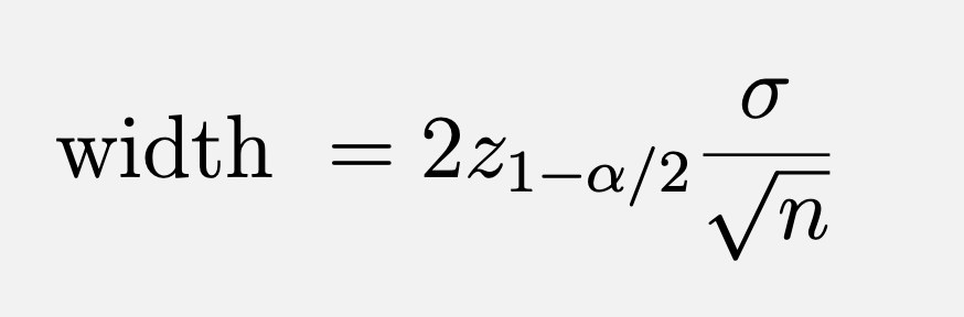
Describe the width of an approximate confidence interval for the population mean
Note: if σ is unknown it can be replaced by S (the sample standard deviation)

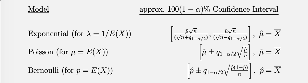
Describe how to find the confidence interval for a population mean if the distribution is not necessarily normal and we know the variance.

Describe how to find the confidence interval for a population mean if the distribution is not necessarily normal and we do not know the variance.
Note that this approximation is valid whenever CLT is valid.
As we make no assumptions we must be sure that the sample is very large for the CI to be valid.

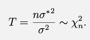
Give the test statistic needed to construct a (1-α) confidence interval for unknown variance σ2 and we know the population mean µ.
This can be rearranged for σ2

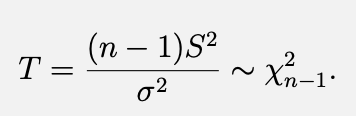
Give the test statistic needed to construct a (1-α) confidence interval for unknown variance σ2 and we don’t know the population mean µ.
This can be rearranged for σ2

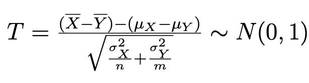
Give the test statistic needed to construct a (1-α) confidence interval for the difference in means between two independent normal distributions and where we know the variance

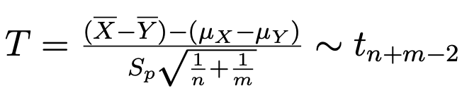
Give the test statistic needed to construct a (1-α) confidence interval for the difference in means between two independent normal distributions and where we don’t know the variance
We assume the variances of the two distributions are equal.

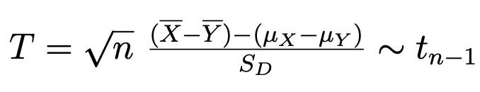
Give the test statistic needed to construct a (1-α) confidence interval for the difference in means where we have one sample of pairs

Describe the random sample of differences

Give the test statistic needed to work out the confidence interval for the ratio of variances from two normal populations when the samples are independent and we know the means

Give the test statistic needed to work out the confidence interval for the ratio of variances from two normal populations when the samples are independent and we don’t know the means

Define a simple hypothesis
A hypothesis is called simple if it completely determines the distribution of the observed data; an example of a simple hypothesis is θ = θ0 if θ is the only parameter in the model.
Define a composite hypothesis
The hypothesis is called composite if it contains an unknown parameter. an example is a hypothesis of the form θ > θ0, since it does not exactly determine all the parameters.
Define a type 1 error
H0 is rejected even though it is true
Define a type 2 error
H0 is not rejected even though it is false
Define the level of significance for a hypothesis test

Define the power of a test

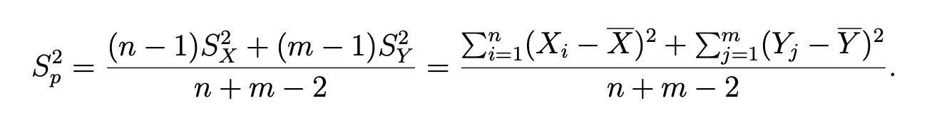
Give the equation for Sp2
