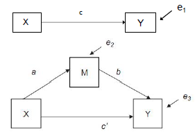
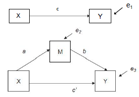
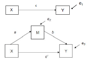
Que représente ce graphique?

Une régression multiple avec 3 prédicteurs et 1 VD

Quel est le(s) meilleur(s) prédicteur(s) du succès aux études graduées? Notre modèle de régression prend en compte les relatons entre les prédicteurs.
Que représente ce graphique?

Un test de modération. Les questions de modération sont des questions de contexte (est-ce que la relation est vrai dans tel ou tel contexte)

Est-ce que la relation entre la caféine et le succès (i.e., le pouvoir prédictif de la caféine) est différente selon le genre?
Que représente ce graphique?

Un test de médiation. Les questions de médiation sont des questions d’explication (pourquoi la relation est vraie).

Est-ce que la caféine explique la relation entre le genre et le succès (i.e., la différence de succès entre les garçons et les filles)?
VRAI ou FAUX
Est-ce que le modèle postulé (ou les relations postulées) est similaire pour différents groupes?
Cette question est centrale à l’analyse de médiation.
FAUX
Est-ce que le modèle postulé (ou les relations postulées) est similaire pour différents groupes?
Cette question est centrale à l’analyse de modération
.Est-ce que la VI affecte directement la VD ou indirectement via une variable médiatrice?
Cette question est centrale à l’analyse de médiation
VRAI ou FAUX
Les tests de modération et de médiation sont des tests de causalité
FAUX
Elles ne sont pas plus causales que la régression. La causalité est un concept méthodologique, pas statistique!
Quelles sont les conditions d’utilisation des tests de modération et de médiation?
Elles sont les même que celles de la régression, car on utilise les outils de régression pour les tester.
Une troisième variable (modérateur) influence la force/direction de la relation entre deux variables (VI → VD). Que représente cette question de recherche?
La modération comme interaction
Que représente ce graphique?

Une interaction modérée en régression multiple
Qu’est-ce qu’on interprète de ce graphique? Il y a une interaction (car les droites se croisent)! Plus on consomme de la cafféine, plus les hommes ont du succès mais c’est contraire pour les femmes. Donc le genre vient modérer la relation entre la caféine et le succès. Le contexte du genre sera alors important dans notre interprétation des résultats.

En fait, un test de modération n’est rien de plus qu’un test […] entre le modérateur et le prédicteur dans la prédiction de la VD.
En fait, un test de modération n’est rien de plus qu’un test d’interaction entre le modérateur et le prédicteur dans la prédiction de la VD.
Pour qu’un test de modération soit valide, on doit entrer les effets dans la régression, quels sont ces effets?
Pour être valide, on doit entrer les trois effets
dans la régression : (a) le modérateur, (b) le
prédicteur, et (c) l’interaction
Que siginifie une relation significative pour a, b et c?

Si a est significatif, qu’est-ce que ça veut dire? Si la relation entre le nombre de café et la note est significative. Ici, le café influence la note, mais on ne connait pas le contexte
Si b est significatif et positif, qu’est-ce que ça veut dire? Les femmes (codé à 1) ont de meilleurs notes que les hommes (codés à 1), mais on ne connait pas le contexte
Si c est significatif, qu’est-ce que ça veut dire? c est le seul test qui nous dit s’il y a une interaction, pas le test a et b. Il y a une interaction entre le genre et la caféine sur les notes.
Que représente cette équation?
Y = B0 + B1X + B2M + B3XM
Une régression avec une modération
Y = VD (continu)
X = Prédicteur (continu)
M = modérateur (catégoriel * 0 = non, 1 = oui)
À quoi ressemble l’équation de régression avec modération lorsqu’on teste sans et avec la modération?
Y = VD (continu)
X = Prédicteur (continu)
M = modérateur (catégoriel * 0 = non, 1 = oui)
Régression pour les “non”: On teste à quel point la VI à une influence sur la VD
Y = B0 + B1X + B20 + B3X0
Y = B0 + B1X
Régression pour les “oui”: On teste à quel point la modération (interaction) amène un changement significatif. S’il n’y a pas d’interaction, on obtiendra le même résultat que celui de la régression pour les “non”
Y = B0 + B1X + B21 + B3X1
Y = (B0 + B2) + (B1 + B3)X
Cette interaction identifie la variable ou les
variables qui explique(nt) la
relation entre une VI et une VD. Quelle est ce type d’interaction?
Une médiation
Dans un test de médiation, que représente une relation totale (c) et directe (c’)?

Relation totale (c): C’est la relation que je veux explorer (ex: Café et examen). On veut comprendre quelle portion de cette relation est explicable par le médiateur.
Relation directe (c’): Relation totale, mais ajutée pour inclure le médiateur.

Quelles sont les trois régressions linéaires typiquement incluent dans un test de médiation?
où i = intercept, M = médiateur, X = VI, Y = VD et e =
erreur

Dans un test de médiation, comment calcule-t-on l’effet indirect ainsi que l’effet direct?
Effet indirect : produit des deux relations X→M et M→Y
= a x b = ab
Effet direct :
= total – indirect
= c – ab = c’
À quoi sert l’approche de Baron et Kenny?
À tester la médiation en testant la signification de chaque relation (alpha, bêta et effet direct)
Tests : a ≠ 0, b ≠ 0 et c’ = 0
Effet total - effet indirect = c’
Approche simple mais très conservatrice (manque de puissance statistique pour détecter la médiation)
Quelle est l’approche la plus utilisée pour tester la médiation?
Approche du produit: Équivalent de faire la relation totale - le relation directe
Test : a x b ≠ 0 ( équivalent à c – c’ ≠ 0)
Approche la plus étudiée (selon différents angles : Sobel, MacKinnon, bootstrap) et la plus puissante
Quelles sont les approches utilisées pour tester la médiation? (2+2)
Expliquer ce que signifie ces résultats selon le test de Sobel/Mackinnon?
effet indirect = Balpha x Bbeta
= 0.615 x 0.756 = 0.465
effet direct = 2.211
effet total = 2.211 + 0.465 = 2.676
Le médiateur (café) expliquerait
0.465 (indirect)/2.676 (total) = 17.4% de la relation entre la
motivation et la réussite
Est-ce que ce Bab = 0.465 est significatif?
IMPORTANT : Le test de chaque partie (alpha et beta) de la relation indirecte ne dit rien sur la relation indirecte elle-même! On doit calculer manuellement l’erreur standard associé au Bab en utilisant les coefficents de régression de chaque partie de la relation indirecte et leurs erreurs standards
VRAI ou FAUX
Même si le test de Sobel est significatif (le test le moins puissant), il est nécessaire de faire celui de MacKinnon
FAUX
Si le test de Sobel est significatif (le test le moins puissant), il n’est pas nécessaire de faire celui de MacKinnon
Quelle est l’approche la plus utilisée pour tester la signification de la relation indirecte dans une médiation?
L’approche booststrap (rééchantillonage multiple)
Quelles sont les étapes de l’approche Bootstrap? (4)