Device Physics Equations Flashcards

(18 cards)

1
Q

What is a ‘Schottky’ barrier

A

Metal-semiconductor junctions naturally form a barrier to current flow in one direction, known as a ‘Schottky’ barrier.

This barrier enables the formation of diode structures with one type (n or p) of semiconductor alone, and such devices are unipolar.

These diodes are faster than p-n junction diodes, but have higher leakage currents.

Hard to form ‘ohmic’ contacts to semiconductors

How well did you know this?
1
Not at all
2
3
4
5
Perfectly
2
Q

space charge region equation

A
How well did you know this?
1
Not at all
2
3
4
5
Perfectly
3
Q

Symbol for work function

A
How well did you know this?
1
Not at all
2
3
4
5
Perfectly
4
Q

Symbol or Schottky barrier

A
How well did you know this?
1
Not at all
2
3
4
5
Perfectly
5
Q

Electron Affinity symbol

A
How well did you know this?
1
Not at all
2
3
4
5
Perfectly
6
Q

junction capacitance equation

A
How well did you know this?
1
Not at all
2
3
4
5
Perfectly
7
Q

‘Schottky effect’

A

An electron in a dielectric at a distance x from the metal will create an electric field.

How well did you know this?
1
Not at all
2
3
4
5
Perfectly
8
Q

force on the electron due to the coulomb attraction with the image charge

A
How well did you know this?
1
Not at all
2
3
4
5
Perfectly
9
Q

potential energy of an electron due to the coulomb attraction with the image charge

A
How well did you know this?
1
Not at all
2
3
4
5
Perfectly
10
Q

Equation to find the value of the Schottky barrier lowering, ∆ϕ

A
How well did you know this?
1
Not at all
2
3
4
5
Perfectly
11
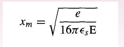
Q

position of the maximum Schottky barrier, xM,

A
How well did you know this?
1
Not at all
2
3
4
5
Perfectly
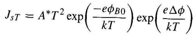
12
Q

current density taking into account image-force-lowering

A
How well did you know this?
1
Not at all
2
3
4
5
Perfectly
13
Q

reverse-saturation current of the Schottky barrier

A
How well did you know this?
1
Not at all
2
3
4
5
Perfectly
14
Q

Comparison of the Schotky barrier diode with the p-n junction diode

A

Two key differences

  • Reverse bias leakage current
  • Switching speed
  • Current conduction mechanism is very different:
  • Schottky diode - Unipolar, majority carrier transport dominates. Thermionic emission.
  • P-n junction diode, Bipolar, minority carrier transport dominates. Diffusion of minority carriers.

For a given forward bias value, a higher current will flow in the Schottky barrier diode, as compared to the p-n junction device

How well did you know this?
1
Not at all
2
3
4
5
Perfectly
15
Q

MOSFET ID in the non-saturation region and saturation region

A
How well did you know this?
1
Not at all
2
3
4
5
Perfectly
16
Q

how does transconductance change

if device width increases

channel length and oxide thickness decrease

A

if device width increases, transconductance increases

if channel length and oxide thickness decrease, transconductance decreases

17
Q

MOSFET cutt-off frequency equation(s)

A

for a well designed mosfet around 800MHz, in reality substantially reduced in real devices

18
Q

What happens when you scale down a MOSFET and the source and drain?

A

The device is more susceptible to punch through breakdown.

To avoid this, substrate doping is increased to reduce the depletion widths.

Junction depths are also reduced to mitigate short channel Vth effect.