Quantum Equations Flashcards

(13 cards)

1
Q

Energy of a photon

A
How well did you know this?
1
Not at all
2
3
4
5
Perfectly
2
Q

Photoelectric effect equation to determine energy of electrons escaping

A
How well did you know this?
1
Not at all
2
3
4
5
Perfectly
3
Q

Relation between the wavenumber and the momentum of a particle

A
How well did you know this?
1
Not at all
2
3
4
5
Perfectly
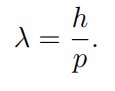
4
Q

de Broglie wavelength

A
How well did you know this?
1
Not at all
2
3
4
5
Perfectly
5
Q

Heisenbergs Uncertainty Principle

What does it tell us?

What is the intuitive explanation?

A

The more we improve the accuracy of measuring the position of some particle, the more we lose the accuracy of measuring its momentum, and vice versa.

When you increase the accuracy of identifying the position of particles x (i.e. ∆x becomes smaller), the uncertainty of momentum ∆p becomes greater.

When we try to decrease ∆x, we have to add more and more plane waves with different wevevectors. This effectively means that the distribution of k will be widen, leading to the increase of ∆k (∝ ∆p). That says, we cannot decrease both ∆x and ∆p at the same time as long as electrons are waves.

How well did you know this?
1
Not at all
2
3
4
5
Perfectly
6
Q

Solving the time-dependent Schrödinger equation

A
How well did you know this?
1
Not at all
2
3
4
5
Perfectly
7
Q

Fermi Energy Equation

A
How well did you know this?
1
Not at all
2
3
4
5
Perfectly
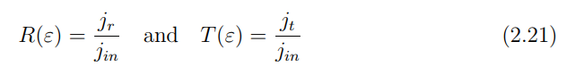
8
Q

ratios of reflected jr, and transmitted jt , particle fluxes to the incident flux jin:

A
How well did you know this?
1
Not at all
2
3
4
5
Perfectly
9
Q

Calculate fluxes, j

A
How well did you know this?
1
Not at all
2
3
4
5
Perfectly
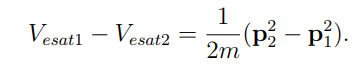
10
Q

Equation to determine momentum of electron moving between boxes of diferrent electrostatic potential.

A
How well did you know this?
1
Not at all
2
3
4
5
Perfectly
11
Q

Mathematically what is Δx defined as?

A
How well did you know this?
1
Not at all
2
3
4
5
Perfectly
12
Q

What is the equation for Δp?

A
How well did you know this?
1
Not at all
2
3
4
5
Perfectly
13
Q

How much is an angstrom?

A
How well did you know this?
1
Not at all
2
3
4
5
Perfectly