EM Equations Flashcards

(15 cards)

1
Q

Time Harmonic Case – The Complex Poynting Vector: What is the equation for time average dissipated power density?

A
How well did you know this?
1
Not at all
2
3
4
5
Perfectly
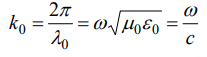
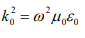
2
Q

How do you determine the magnitude of wave vector k?

A
How well did you know this?
1
Not at all
2
3
4
5
Perfectly
3
Q

How do you determine the wavelength if you know the magnitude of wave vector k, and vice versa?

A
How well did you know this?
1
Not at all
2
3
4
5
Perfectly
4
Q

What is the symbol for intrinsic impedance of space and what is its equation?

A

eta naught

How well did you know this?
1
Not at all
2
3
4
5
Perfectly
5
Q

How do you find the phasor forms of electric and magnetic fields?

A

The non-phasor forms have the imaginary components removed.

So if there is a cosine, you need to replace it with a negative exponential value wih the kr parameters as the exponent value.

How well did you know this?
1
Not at all
2
3
4
5
Perfectly
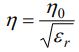
6
Q

Intrinsic impedance of a medium equation

A
How well did you know this?
1
Not at all
2
3
4
5
Perfectly
7
Q

Standing wave ratio equation

A
How well did you know this?
1
Not at all
2
3
4
5
Perfectly
8
Q

Reflection by a conductor at normal incidence: What are the reflection and tranmission equations?

What is important to remember?

A

That this is for normal incidence on a conductor.

How well did you know this?
1
Not at all
2
3
4
5
Perfectly
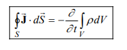
9
Q

Continuity equation

A
How well did you know this?
1
Not at all
2
3
4
5
Perfectly
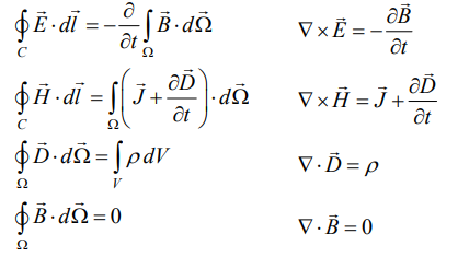
10
Q

State them all in integral and differential form

A
How well did you know this?
1
Not at all
2
3
4
5
Perfectly
11
Q

What is faraday’s law in differential form?

A
How well did you know this?
1
Not at all
2
3
4
5
Perfectly
12
Q

Poynting vector: Expression for the conservation of energy

State the meaning of each term.

A
How well did you know this?
1
Not at all
2
3
4
5
Perfectly
13
Q

Whats the integral of this?

A
How well did you know this?
1
Not at all
2
3
4
5
Perfectly
14
Q

time-average of the total instantaneous radiated power equation

A

Note that taking the real part of the complex poynting vector is equal to the time-average of the total instaneous radiated power equation.

How well did you know this?
1
Not at all
2
3
4
5
Perfectly
15
Q

What are the reflection and transmission coefficients equations of a conductor at normal incidence?

A
How well did you know this?
1
Not at all
2
3
4
5
Perfectly